1
svar
88
visningar
Jova44 behöver inte mer hjälp
Gränsvärde problem
Hej!
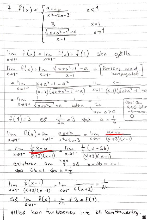
Jag har försökt lösa följande problem: 
Men värdet på b fick jag till -1/6 och inte 1/6 enligt facit nedan:

Varför byts tecknet på b ut mot ett minus? Uppskattar så mycket hjälp som möjligt. Tack!
Det ser ut som att det blir lite fel i facit, b borde vara b=-1/6 som du får.
Men oavsett värde så kommer sista delen bli samma. Facit definierar täljaren som (x-6b)/6 = {b=1/6} = (x-1)/6 medan det i ditt fall blir (x+6b)/6 = {b=-1/6} = (x-1)/6