Gränsvärde, tillräcklig motivaterat resultat?
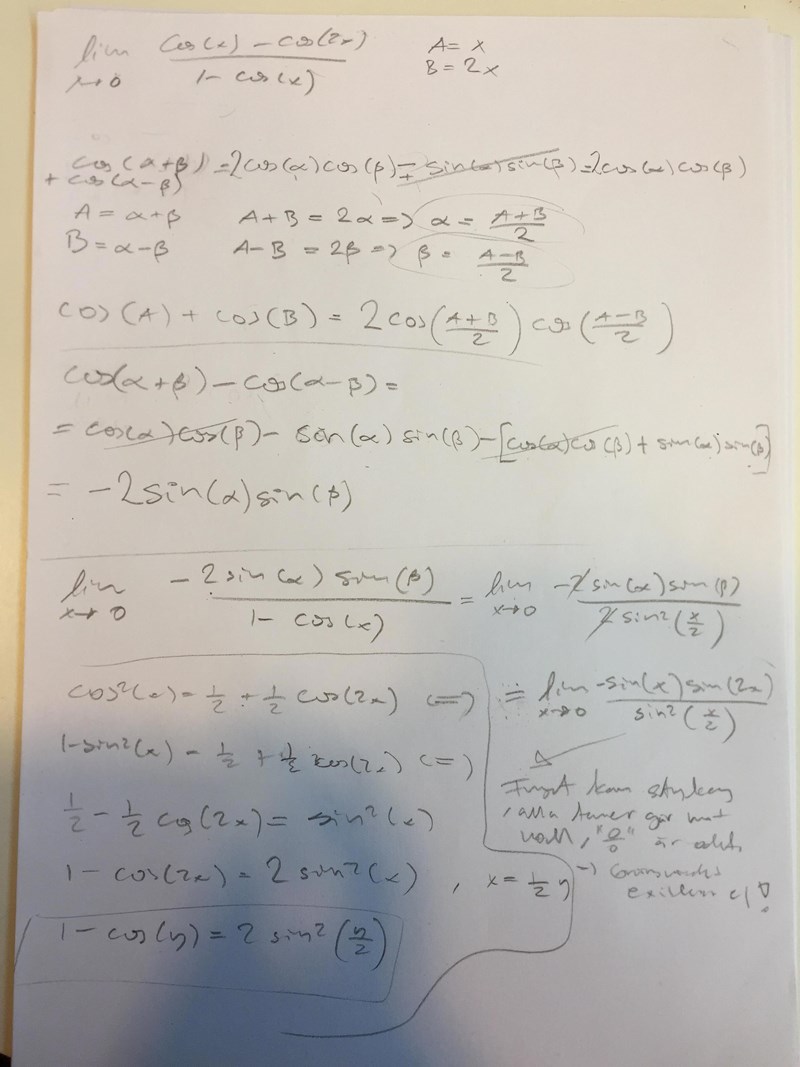
Hej, jag försökte läsa följande gränsvärdes fråga och fick detta resultat, fråga, räkningar samt slutsats finns angivna på bilden. Om något skulle vara otydligt, varsigod och berätta. 
Tycker ni att motivationen är tillräcklig? Det står: ”Inget kan förkortas ytterligare. När x går mot noll går var och en av termerna mot noll. ”0/0” är odefinierat, därmed existerar ej gränsvärdet. En annan ide är att möjligtvis visa detta mer stringent genom en ansättning; x_k=x+k(pi/2) k tillhör N, och jämnföra den med en annan likartad ansättning och varefter visa att deras hopningspunkter är olika. Men i och med formen som vissa av sinus är på känns det som att de kan bli grötigt. Hur tänker ni? Räcker detta på en tenta?
Men ...
någon av oss har missat något. Låt mig titta lite mer på vad du skrivit.
Jag har försökt följa dina beräkningar men du tappar bort mig på vägen.
Jag skulle gått en annan väg. Jag börjar med att skriva om uttrycket (sen kan du sätta dit lim när vi kommer dit)
joculator skrev:Jag har försökt följa dina beräkningar men du tappar bort mig på vägen.
Jag skulle gått en annan väg. Jag börjar med att skriva om uttrycket (sen kan du sätta dit lim när vi kommer dit)
Tack!