Gränsvärde utan l'hospital regel
Hej!
Jag vill lösa följande utan hjälp av l'hospital men mha standardgränsvärde. Jag ser att det finns någon slags relation mellan -8 och -32 men kommer inte fram till något...

Det enklaste isf är väl att använda MacLaurinserien för ?
Eftersom detta är postat i gymnasiet kanske Maclaurin inte har gåtts igenom?
Ett standardgränsvärde du kan använda här är att tan(x)/x går mot 1 när x går mot 0, även x/tan(x) går mot 1.
Ett vanligt trick är att det måste inte vara just tan(x)/x. Du kan ersätta x med vad som helst som går mot 0. Exempelvis tan(2x)/(2x) går mot 0 när x går mot 0 (eftersom 2x kommer då gå mot 0).
Så med detta i åtanke, du har två stycken tan-termer. Kan du förlänga med något så att du får två stycken standardgränsvärden ?
Ja, det stämmer att vi har inte gått genom Maclaurin..
Vi har bara jobbat med
Och därför tänkte jag så här men det leder till ingenting..

Det är en bra start. Men du får fel i andra likheten: det ska vara en sin-term och en cos-term i nämnaren och likadant i täljaren.
Sedan gäller att även x/sin(x) går mot 1 när x går mot 0.
Så om du förlänger med -8x/-8x som du gjort nu kan du ”använda” x i täljaren för att hitta standardgränsvärdet x/sin(x)
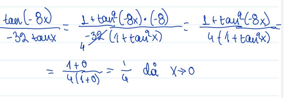
Juste...det missade jag. Nu stämmer svaret med l'hospital men jag är osäker om mitt sätt att dela det tredje bråket är rätt..

Överlag tycker jag det ser bra ut, förutom att det dyker upp en 32:a i ”nämnarens nämnare” efter första likheten men som sedan försvinner. Så det blir fel efter första likheten men sedan korrekt igen efter andra :)
Åh juste! Tack!!