Gränsvärde, variabelbyte
Jag ska bestämma gränsvärdet.
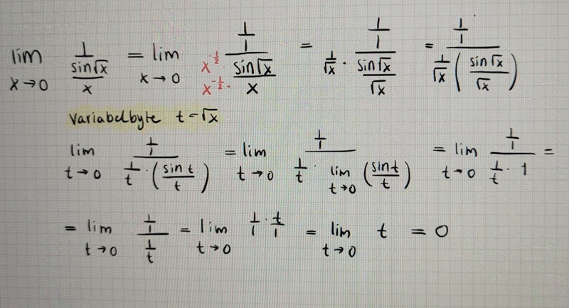
Hur kan jag komma vidare då jag inte får min nämare att likna standardvärdet?
Menar du att ?
Jag kollade på ett annat exempel i min bok men ser ju att det inte går. Jag har skrivit om kvoten.
Jag tänkte utgå från detta exempel men fastnar i hur jag kan skriva om kvoten under 1:an.

Det är ju bara att göra exakt samma sak:

Du kanske kom direkt i huvudet att man ska ta 1/rotenur x men jag gjorde ett mellansteg (det röda). Är detta rätt?
Personligen gillar jag inte hur du skriver det. Släng täljaren som en nämnarne för nämnare, och bryt sedan ut rot(x) känns mer naturligt.
Vad Du måste också placera allting på korrekt plats, vilket du egentligen inte ha gjort så ditt mellansteg är förvirrande.
Sedan kan du om du vill använda variabelsub, men anlending av vi bröt isär den så är ju för att du har ett standardgränsvärde redan:

Men visst, det är inget fel på din metod,
Gränsvärdet är odefinierat eftersom ej är definierat för .
tillhör inte domänen av då inte är definierat för . Det är alltså inte tillåtet att beräkna vänstergränsvärdet i detta fallet.
https://www.pluggakuten.se/trad/stoppa-in-1-direkt/?order=all#post-6c4b05ff-06c7-4994-bf49-af4c00bcae5f
Dracaena skrev:tillhör inte domänen av då inte är definierat för . Det är alltså inte tillåtet att beräkna vänstergränsvärdet i detta fallet.
https://www.pluggakuten.se/trad/stoppa-in-1-direkt/?order=all#post-6c4b05ff-06c7-4994-bf49-af4c00bcae5f
Ok, så det är underförstått att ?
Ja, så kan man se på det. Jag hittade en väldigt intressant diskussion kring detta:
https://math.stackexchange.com/questions/637280/limit-of-sqrt-x-as-x-approaches-0
Här pratar några om att det verkar vara en definitionsfråga. Men det jag har lärt mig är att gränsvärdet existerar, oavsett om den negativa aspekten av gränsvärdet inte existerar, eftersom man inte kan prata om då det inte tillhör domänen.