4 svar
75 visningar
destiny99 behöver inte mer hjälp
destiny99 10984
Postad: 27 sep 2023 14:16

Gränsvärde vid infinity

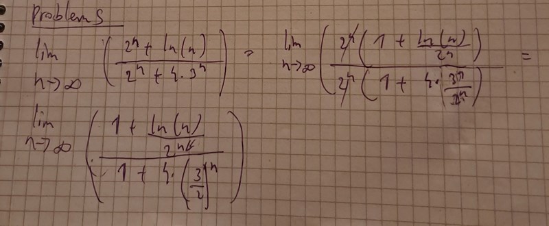
tjena! Jag har problem att avgöra vad täljaren går mot pga ln(n) och 2^n.  Nämnaren förstår jag att det kommer gå infinity då (3/2)^n blir väldigt stort.

Marilyn 4014
Postad: 27 sep 2023 14:32

Om du delar täljare och nämnare med 2n så får du

 

(1+ (ln n)/2n) / (1+ 4 (3/2)n)

fundera och kolla spoilern sedan

Visa spoiler

Täljaren går mot 1. Nämnaren går mot oändl. Gränsvärdet är noll.

destiny99 10984
Postad: 27 sep 2023 14:39
Marilyn skrev:

Om du delar täljare och nämnare med 2n så får du

 

(1+ (ln n)/2n) / (1+ 4 (3/2)n)

fundera och kolla spoilern sedan

Visa spoiler

Täljaren går mot 1. Nämnaren går mot oändl. Gränsvärdet är noll.

Ja jag gjorde så men jag förstår ej hur täljaren går mot ett. Det har ej du förklarat?? 

Marilyn 4014
Postad: 27 sep 2023 15:05

ln n är hiskligt mycket mindre än 2n för stora n

 

Det är en grundregel att logaritmer växer långsammare än potensfunktioner som växer långsammare än exponentialfunktioner. Den exakta formuleringen finns säkert i boken men du kan ju testa för skojs skull; ln 100 är mindre än 5, och 2100 är större än 1 000 000 000 000 000 000 000 000 000 000

destiny99 10984
Postad: 27 sep 2023 15:09 Redigerad: 27 sep 2023 15:09
Marilyn skrev:

ln n är hiskligt mycket mindre än 2n för stora n

 

Det är en grundregel att logaritmer växer långsammare än potensfunktioner som växer långsammare än exponentialfunktioner. Den exakta formuleringen finns säkert i boken men du kan ju testa för skojs skull; ln 100 är mindre än 5, och 2100 är större än 1 000 000 000 000 000 000 000 000 000 000

Aa jo jag förstår. Får kolla i kursboken tack!

Svara
Close