1
svar
49
visningar
Gränsvärden

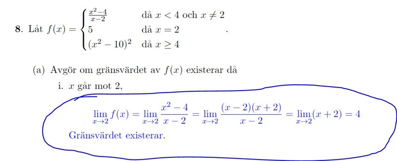
Varför undersöker vi inte här?
För att det uttrycket bara gäller när och alltså inte när x går mot 2.