8 svar
146 visningar
offan123 3072
Postad: 31 dec 2022 17:43

Gränsvärden

Om jag vill lägga ihop alla 3 integralerna, hur blir det då om jag fått ut oändligheten också?

Fermatrix 7621 – Fd. Medlem
Postad: 31 dec 2022 18:07

Om det visar sig att någon integral är divergent så är summan också divergent.

Det är som att säga: C+B±C+B \pm\infty, detta är ju inte finit oavsett vad CC och BB.

offan123 3072
Postad: 31 dec 2022 18:19

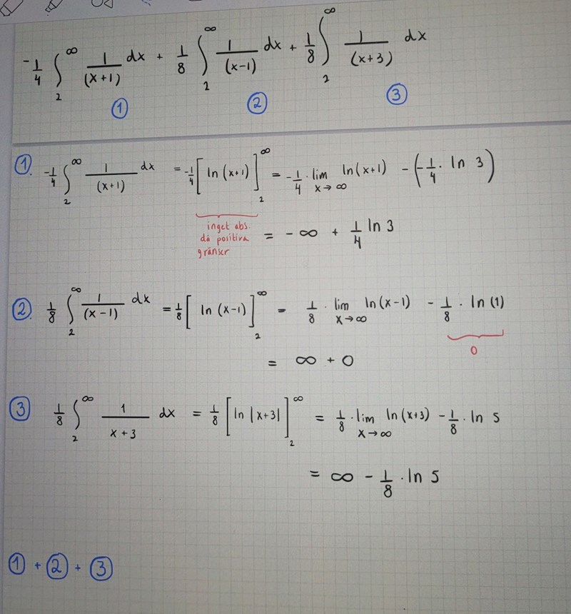
Men facit ger ett tal, dvs 1/4, vilket är konstigt för när jag kör dessa i matteappar så säger de också oändligheten.

Fermatrix 7621 – Fd. Medlem
Postad: 31 dec 2022 18:31

Då är det fel i facit eller så kollar du kanske på fel uppgift? Varken av integralerna är konvergenta, så att summan skulle bli konvergent låter orimligt. 

offan123 3072
Postad: 31 dec 2022 18:51 Redigerad: 31 dec 2022 18:51

Kollade på fel uppgift, men blir ett tal ändå, det blir -1/8 ln 5/9

Fermatrix 7621 – Fd. Medlem
Postad: 31 dec 2022 19:02

Kan du fotografera uppgiften? Jag körde det i Mathematica och Wolfram, båda påstår att det är divergent.

Men det känns skumt att uppgiften är summan av tre divergenta integraler?

offan123 3072
Postad: 31 dec 2022 19:09 Redigerad: 31 dec 2022 19:11

Jag tror jag insett problemet, man kör ju inte gränsvärdet med lim när det är rationella funktioner så där jag fått oändligheten blir det ju noll såklart. Då 1/"oändligheten" blir noll

Då får jag som facit: 1/4 ln3 -1/8 ln 5

Laguna Online 32263
Postad: 31 dec 2022 19:28

Du har alltså partialbråksuppdelat och integrerat delarna var för sig. Då får du tre stycken oändligheter som tar ut varandra i summan. Det behövs nog någon motivering till att de gör det.

PATENTERAMERA Online 7979
Postad: 31 dec 2022 21:12

2dxx+1x2+2x-3 = (per definition) = lima2adxx+1x2+2x-3 =

 =  lima14lnx2+2x-3x+12a.

 

limalna2+2a-3a+1 = 0.

Svara
Close