Gränsvärden
Hej,
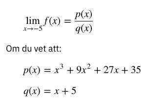
Gör lite uppgifter inne på matteboken.se och kommer verkligen inte förbi denna:

Jag ser att nämnaren blir 0 om jag sätter in -5 som X värdet direkt.
Jag behöver hjälp att börja med denna lösning, jag har kört fast
Tredjegradspolynomet i täljaren blir också 0 om du sätter in -5. Vad innebär det för tredjegradspolynomet?
Jag har inte läst mycket om tredjegradspolynom. Får göra det och sen återvända till denna uppgift då.
Tack :)
Det JohanF menar är att om ett polynom p(x) har ett nollställe vid x = -5 så innebär det att (x+5) är en faktor i polynomet, dvs att polynomet kan skrivas p(x) = (x+5)*q(x), där q(x) är ett annat polynom vars gradtal är ett lägre än det för p(x).
Yngve skrev:Det JohanF menar är att om ett polynom p(x) har ett nollställe vid x = -5 så innebär det att (x+5) är en faktor i polynomet, dvs att polynomet kan skrivas p(x) = (x+5)*q(x), där q(x) är ett annat polynom vars gradtal är ett lägre än det för p(x).
Tack Yngve. Ja, det var otänkt av mig att skriva som att det kunde tolkas gälla bara för tredjegradspolynom.
@maddesp. Jag tycker du ska köra på. Du behöver inte veta något om tredjegradspolynom. Du behöver bara veta hur man kan faktorisera polynom, som Yngve hintar om.
Tack för svaren! Jag löste det :)
Alternativt kan du tolka detta som en derivata och beräkna .