Gränsvärden
Hej! Generellt vilka steg ska man ta för att beräkna gränsvärdet i en uppgift? Jag har märkt att det lönar sig att alltid förenkla så långt det går. Gör jag rätt då?

Den här kan t.ex. förenklas till lim ( (3 + 4h)/(h - h^2) ). Men jag hade lite extra problem med just denna uppgift. Har jag rätt om jag säger att det inte existerar ett gränsvärde och att svaret går mot oändligheten? Jag är inte heller säker hur jag kan avgöra i denna uppgift om det går mot +/- oändligheten eller bara + oändligheten. Eller kanske bara - oändligheten, om det nu är möjligt i något fall.
Här är en annan svår jag har hittat.

I detta fall tycker jag dock inte att lösningsstrategin verkar vara att förenkla bråket. Det känns mer bara som en slumpmässig omskrivning. Kan någon hjälpa mig förstå hur man vet vilket steg man ska ta? Hur kan man t.ex. veta att man ska ta dessa steg nedan? Tack.

Gör en tråd för varje uppgift, det blir så lätt rörigt annars. /moderator
Hej,
Om är mycket nära noll så är försumbar jämförd med och är försumbar jämförd med , så kvoten är ungefär lika med
som är ett mycket stort tal. Detta indikerar att gränsvärdet inte existerar.
Om är mycket nära noll så är ungefär lika med , så täljaren är ungefär lika med vilket gör att kvoten blir obestämd. En annan metod behövs för att bestämma detta gränsvärde; ett förslag är att förlänga kvoten med täljarens konjugatuttryck och tillämpa Konjugatregeln.
Till moderatorn: Jag ville gärna lära mig relationen och hur jag ska tänka på olika lösningsstrategier och olika typer av uppgifter på gränsvärde. Det skulle jag inte kunna göra i separata trådar.
Albiki skrev:Hej,
Om är mycket nära noll så är försumbar jämförd med och är försumbar jämförd med , så kvoten är ungefär lika med
som är ett mycket stort tal. Detta indikerar att gränsvärdet inte existerar.
Betyder detta alltså att svaret går mot +/- oändligheten när h går mot noll?
Om är mycket nära noll så är ungefär lika med , så täljaren är ungefär lika med vilket gör att kvoten blir obestämd. En annan metod behövs för att bestämma detta gränsvärde; ett förslag är att förlänga kvoten med täljarens konjugatuttryck och tillämpa Konjugatregeln.
Hur kan jag skilja mellan att ”kvoten är obestämd” och att detta inte är den faktiska lösningen? Täljaren är ungefär lika med 2 − 2 = 0 som du skriver, så alltihop blir bara 0. Jag får då svaret att uttrycket går mot 0, så hur ska jag veta att det inte är den riktiga lösningen?
Zeus skrev:Till moderatorn: Jag ville gärna lära mig relationen och hur jag ska tänka på olika lösningsstrategier och olika typer av uppgifter på gränsvärde. Det skulle jag inte kunna göra i separata trådar.
Albiki skrev:Hej,
Om är mycket nära noll så är försumbar jämförd med och är försumbar jämförd med , så kvoten är ungefär lika med
som är ett mycket stort tal. Detta indikerar att gränsvärdet inte existerar.
Betyder detta alltså att svaret går mot +/- oändligheten när h går mot noll?
Ja.
Om är mycket nära noll så är ungefär lika med , så täljaren är ungefär lika med vilket gör att kvoten blir obestämd. En annan metod behövs för att bestämma detta gränsvärde; ett förslag är att förlänga kvoten med täljarens konjugatuttryck och tillämpa Konjugatregeln.
Hur kan jag skilja mellan att ”kvoten är obestämd” och att detta inte är den faktiska lösningen? Täljaren är ungefär lika med 2 − 2 = 0 som du skriver, så alltihop blir bara 0. Jag får då svaret att uttrycket går mot 0, så hur ska jag veta att det inte är den riktiga lösningen?
Lär dig att när det är rötter inblandade, är det ofta en bra idé att multiplicera med konjugatet.
Lär dig att när det är rötter inblandade, är det ofta en bra idé att multiplicera med konjugatet.
Jag tar bäst till mig regler om jag förstår dem :)
Varför är detta en bra idé just när rötter är inblandade?
Konjugatregeln. Pröva själv att multiplicera ihop och förenkla!
Om din uppgift: Att du "på köpet" får en ny faktor i nämnaren som inte går mot 0 gör ingen skada.
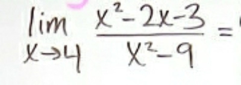
I denna uppgift får jag gränsen till 5/7 om jag stoppar in värdet "4" direkt i uttrycket. Hur vet jag att jag kommit fram till rätt svar? Detta uttryck går ju annars att förenkla ytterligare. Så tänk om skulle jag få ett annat svar om jag förenklade ytterligare?
Hur skulle du kunna få det?
Smaragdalena skrev:Konjugatregeln. Pröva själv att multiplicera ihop och förenkla!
Om din uppgift: Att du "på köpet" får en ny faktor i nämnaren som inte går mot 0 gör ingen skada.
Jag påstår att typen är vanligare.
Laguna skrev:Hur skulle du kunna få det?

Laguna skrev:Hur skulle du kunna få det?
Jag inser att jag tolkade din fråga fel... trodde du menade hur jag kunde få 5/7. Därav mitt senaste inlägg.
Låt mig tydliggöra min fråga. Vi använder samma uppgift:

Men låt x istället gå mot 3. Nu får jag 0/0, vilket är odefinerat. Hur vet jag att detta inte är rätt svar? Tänk så är det faktiskt så att gränsvärdet är odefinierat.
Nu förväntar jag mig att du säger att gränsvärden inte kan vara odefinierade.
Men låt oss bara tänka oss vilket bråk som helst där variabel ingår. Och så stoppar vi in det som variabeln går mot. Min fråga är då, om man får ett definierat svar, t.ex. 0 i täljaren och något annat i nämnaren, betyder det att man fått fram rätt svar?
Detta är nog det enda som jag behöver veta inför provet på måndag. Viktigt att jag behärskar detta. Snällt om du kunde hjälpa :)
Du måste skriva om uttrycket eller förenkla pga 0/0. I matte 3 är det bara att förenkla. Täljaren och nämnaren blir 0 om x=3 och därför är en faktor i båda polynomen. 0/0 eller inf/inf osv är farliga fall, du kan inte konkludera något alls. Det finns inga exempel jag kan tänka på som inte är väldigt överkurs men det är bara att lägga på minnet att du alltid nåste förenkla först innan du kan beräkna gränsvärdet.
@Zeus, har du kommit fram till begreppet derivata och mer specifikt "derivatans h-definition" ännu i kursen?
I så fall finns det en alternativ lösningsmetod till uppgiften du visade i denna kommentar.
===============
Fick du svar på din fråga varför det ibland är klokt att multiplicera ett uttryck med dess konjugat?
Randyyy skrev:
Det är bara att lägga på minnet att du alltid nåste förenkla först innan du kan beräkna gränsvärdet.
Gäller detta även om jag får ett definierat gränsvärde, t.ex. 0 eller 5/7 som det andra exemplet jag tog upp i denna tråd? Eller menar du att jag ska förenkla bara om jag får 0 i nämnaren?
Yngve skrev:
@Zeus, har du kommit fram till begreppet derivata och mer specifikt "derivatans h-definition" ännu i kursen?
I så fall finns det en alternativ lösningsmetod till uppgiften du visade i denna kommentar.
===============
Fick du svar på din fråga varför det ibland är klokt att multiplicera ett uttryck med dess konjugat?
Jag tycker inte riktigt jag fick svar på varför det är klokt att multiplicera ett uttryck med dess konjugat.
Förresten, ja jag har lärt mig derivata. Jag ska gissa vad du tänker: att jag ska gå till ursprungliga funktionen. D.v.s. att f(x) = sqrt(x) = x^1/2. Genom att använda genvägen vet vi att f'(x) = 1/(2 × sqrt(x)).
D.v.s. om jag stoppar in x = 4 får vi att f'(x) = 1/4
Jag tycker inte riktigt jag fick svar på varför det är klokt att multiplicera ett uttryck med dess konjugat.
Det är ett bra sätt att bli av med besvärliga rotuttryck. Pröva själv!
Smaragdalena skrev:Jag tycker inte riktigt jag fick svar på varför det är klokt att multiplicera ett uttryck med dess konjugat.
Det är ett bra sätt att bli av med besvärlega rotuttryck. Pröva själv!
Jag har provat och ser att det fungerar bra. Jag känner mig nöjd med alla andra svar nu, viktigast för mig nu är att få svar på min fråga om det som Randyyy skrev.
Första steget är att stoppa in värdet x går mot och se vad du får. I situationer med 0/0, inf/inf, inf-inf osv så måste du antingen skriva om uttrycket eller faktorisera det. Dessa som sagt är farliga fall och du kan inte dra någon slutsats alls.
Randyyy skrev:Första steget är att stoppa in värdet x går mot och se vad du får. I situationer med 0/0, inf/inf, inf-inf osv så måste du antingen skriva om uttrycket eller faktorisera det. Dessa som sagt är farliga fall och du kan inte dra någon slutsats alls.
Med andra ord, om jag stoppar in värdet direkt i uttrycket, och inte får 0 i nämnaren, så kan jag vara 100% säker på att jag fått rätt gränsvärde?
Ja, eftersom division med 0 är inte tillåtet samt att om båda täljaren och nämnaren blir 0 så kan du inte dra slutsatsen att gransvärdet saknas eller att den är 0, du måste undersöka det vidare. Fallen då du får 0/0 är det nästan garanterat att det finns en gemensam faktor du kan stryka ocj så trillar gränsvärdet ut (om den existerar).
Zeus skrev:
Förresten, ja jag har lärt mig derivata. Jag ska gissa vad du tänker: att jag ska gå till ursprungliga funktionen. D.v.s. att f(x) = sqrt(x) = x^1/2. Genom att använda genvägen vet vi att f'(x) = 1/(2 × sqrt(x)).
D.v.s. om jag stoppar in x = 4 får vi att f'(x) = 1/4
Ja det stämmer.