Gränsvärden
Hej!
Vad är skillnaden mellan lim 𝑥→0 och lim 𝑥→∞ ?
För när jag jag använder mig av lim 𝑥→∞ vid e-x blir svaret noll, till skillnad mot när jag använder lim lim 𝑥→0 då svaret blir 1!
Tacksam för svar!
limens handlar om att x närmar sig. Om lim 𝑥→∞ innebär det att x går mot oändligheten. Om vi tar exemplet
Tack för ditt svar!
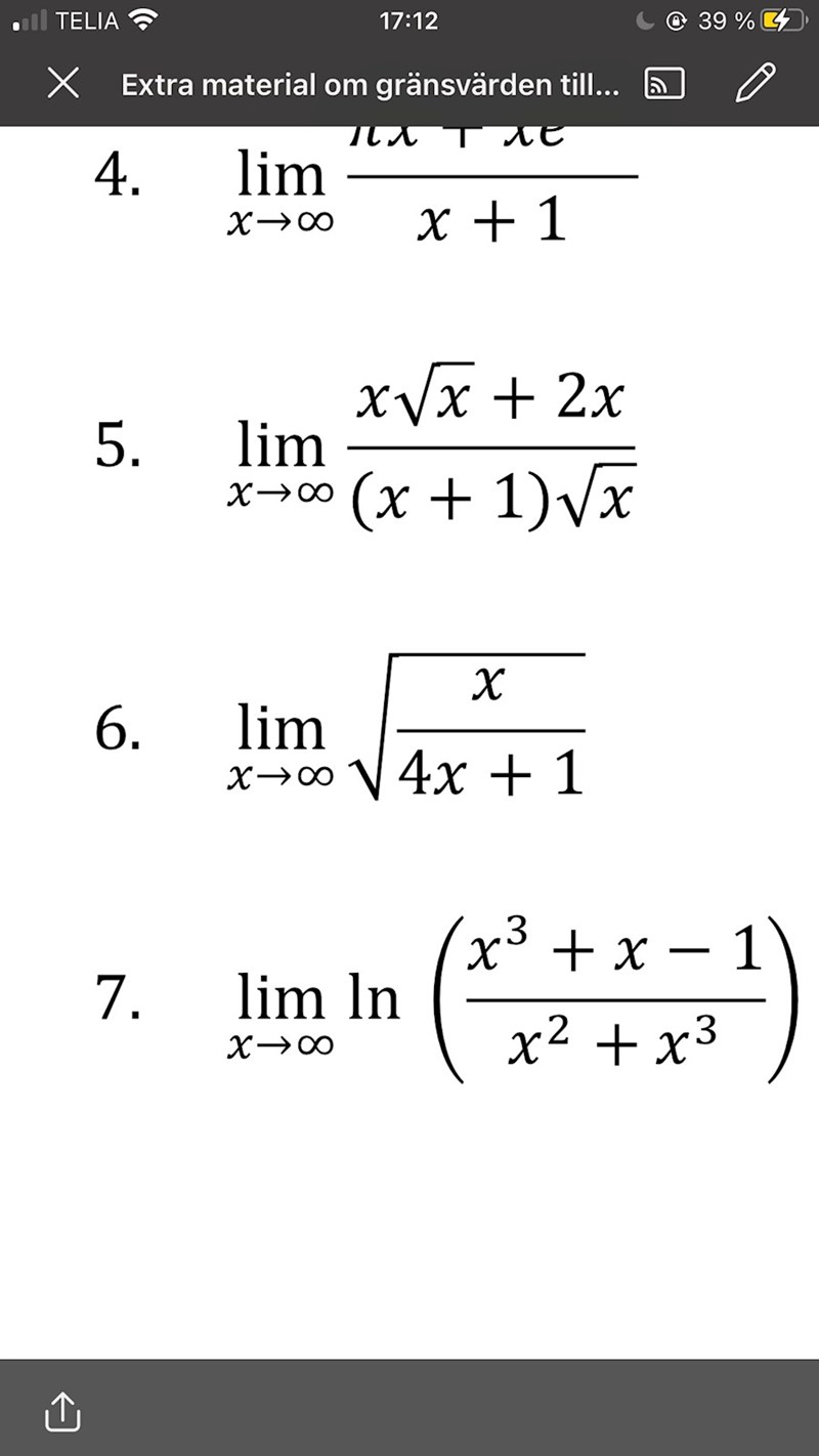
Men om jag ska applicera det på uppgift 6 nedan, hur gör jag då? För i facit står det att en ledtråd är att bråket går mot 1/4, har det något med limes att göra?

dividera både täljaren och nämnaren med , använd sedan samma logik som innan
Det jag kommer fram till när jag dividerar både nämnaren och täljaren med x0.5 är 1/((4x+1)0.5/x0.5). Hur kommer jag vidare?
på uppgifter som dessa kan du tänka bort roten ur tecknet och ta det sist. Så tänk dig först att du har uttrycket x/(4x+1)
Dividera både täljaren och nämnaren med x
Kan man tänka att precis som när lim går mot noll tar man bort alla x och det som blir kvar är 1/(40.5) vilket blir 1/2? Eller vad menar facit med att bråket går mot 1/4?
Inte helt säker hur du tänker, men skulle inte säga det. Om du dividerar både täljaren och nämnaren får du 1/(4+(1/x))
1/x går mot 0
Då får du kvar 1/4
Och sedan är det roten ur 1/4 vilket blir 1/2 som är svaret! Men varför går 1/x mot noll för limes går ju mot oändligheten i uppgiften?
Slå in 1/99999999999 på en Miniräknare
Så man kan tänka att lim går mot oändligheten är samma som lim går mot noll?
Absolut inte, du har uttrycket 1/x
Vad händer med värdet på uttrycket om x blir väldigt stort
Det blir noll, okej då förstår jag! Tack för hjälpen!