3
svar
164
visningar
lijo01092 behöver inte mer hjälp
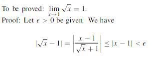
gränsvärden förenkling

Jag förstår inte hur man får fram detta, jag har absolutbeloppet av roten ur x minus 1, men vet inte hur man får fram kvoten i andra steget
Konjugatregeln:
dividera sedan båda led med
SvanteR skrev:Konjugatregeln:
dividera sedan båda led med
okej, det är jag med på, men sen hur vet man att |x-1| är mindre än epsilon?
lim x --->1 betyder att du får välja hur stort det beloppet ska vara.