Gränsvärden med maclaurinserier
Hej! Känns som att jag skriver här inne varje dag nu men det är så fint att få hjälp när man inte har någon annan som kan hjälpa en. Jag har fastnat på den här uppgiften

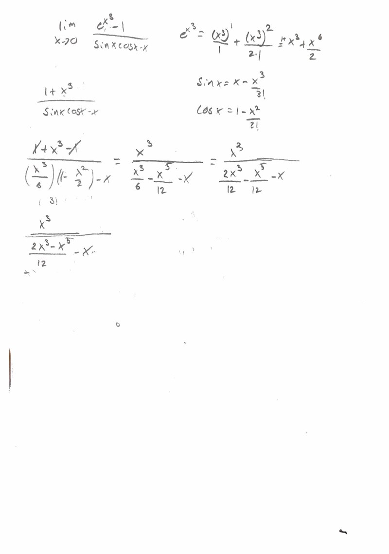
Jag tänkte att man kan utveckla de olika uttrycken för att bryta ut det största x i både täljare och nämnare så att alla andra värdena går mot 0/oändligt och att standard maclaurin oftast då går mot ett specifikt värde. Men när jag provar så fastnar jag lite,
här är min uträkning

Det finns även lösningsförslag till denna uppgift,

Det jag fastnar på hur jag ska förenkla/bryta ut mitt uttryck för att få i nämnaren, eller om jag kanske har gjort något annat fel efter vägen.
Ett tips är att skriva om
Då blir nämnaren mycket enklare.
Där det står x3/6 i din nämnare borde det stå (x - x3/6).
Laguna skrev:Där det står x3/6 i din nämnare borde det stå (x - x3/6).
Tack för att du såg det! Fick rätt svar när jag räknade om med rätt nämnare!
tomast80 skrev:Ett tips är att skriva om
Då blir nämnaren mycket enklare.
Tack för tipset! Bra att ha med sig 😃