Gränsvärden till trippelintegral
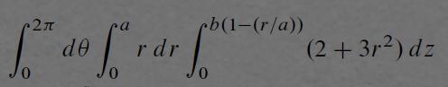
Jag undrar hur vi får gränsvärdena till z i trippelintegralen nedan. Jag trodde det skulle vara men det stämmer inte.

beskriver konens kant. Då r=0 befinner vi oss i toppen på konen och z blir
Då r=a befinner vi oss i botten på konen och z blir
Om man bara skulle satt den övre begränsningen till b så skulle vi ha en integral där r går från 0 till a, där theta går från 0 till 2*pi och z går från 0 till b, vilket även är beskrivningen av integralen över en cylinder med radien a och höjden b. För att avgränsa detta måste man i integralgränssättningen få med att det finns ett beroende mellan yttre gränsen i kroppen för r-variabeln och z-variabeln, och de valde att göra detta genom att uttrycka z som en funktion av r.
Bedinsis skrev:beskriver konens kant. Då r=0 befinner vi oss i toppen på konen och z blir
Då r=a befinner vi oss i botten på konen och z blir
Om man bara skulle satt den övre begränsningen till b så skulle vi ha en integral där r går från 0 till a, där theta går från 0 till 2*pi och z går från 0 till b, vilket även är beskrivningen av integralen över en cylinder med radien a och höjden b. För att avgränsa detta måste man i integralgränssättningen få med att det finns ett beroende mellan yttre gränsen i kroppen för r-variabeln och z-variabeln, och de valde att göra detta genom att uttrycka z som en funktion av r.
Tack för ett mycket utförligt svar :) jag var mer intresserad av hur man härledde uttrycket .
Rita figur och härled själv.

PATENTERAMERA skrev:Rita figur och härled själv.
Tack! Visste inte hur jag skulle rita :)