2
svar
90
visningar
metfraen behöver inte mer hjälp
Gränsvärdesuppgift från envariabelanalys 1
Jag behöver hjälp med att beräkna följande gränsvärde:
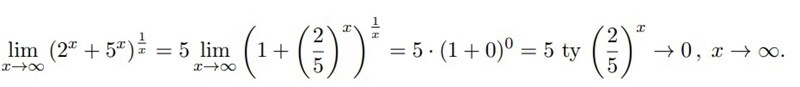
I facit står det följande:

Jag förstår inte hur de kom fram till den första likheten i ledet.
Tacksam för svar!
metfraen skrev:[...]
Jag förstår inte hur de kom fram till den första likheten i ledet.
[...]
Hej och välkommen till Pluggakuten!
Tack så mycket!!!