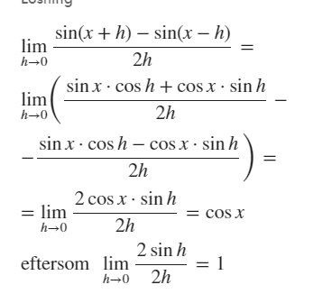
Gränsvärdet

Varför är lim2sinh/2h=1 ?
Det är ett standardgränsvärde: .
Det går att bevisa, men för det brukar matematik från högre kurser användas. Du kan övertyga dig själv genom att rita upp sin(x) och x, nära noll. De beter sig där nästan likadant (nästan samma värde, nästan samma lutning), och därför blir gränsvärdet ett. :)
Smutstvätt skrev:Det är ett standardgränsvärde: .
Det går att bevisa, men för det brukar matematik från högre kurser användas. Du kan övertyga dig själv genom att rita upp sin(x) och x, nära noll. De beter sig där nästan likadant (nästan samma värde, nästan samma lutning), och därför blir gränsvärdet ett. :)
gäller på samma sätt då att lim(cos(x)/x)=-1 ???
Nej.
Om x går mot 0 så går cos x mot 1 så gränsvärdet existerar inte. Typ 1/±0
Mogens skrev:Nej.
Om x går mot 0 så går cos x mot 1 så gränsvärdet existerar inte. Typ 1/±0
finns det något annat standardgränsvärde som jag behöver känna till i ma 4?
går mot e, när n går mot oändligheten. Den är viktig att kunna. :)
Tillägg: 15 feb 2023 08:04
Här finns en lista över användbara gränsvärden:
https://www.formelsamlingen.se/alla-amnen/tabeller/matematik/standardgransvarden