3 svar
159 visningar
Plugga12 behöver inte mer hjälp
Plugga12 930
Postad: 22 okt 2024 17:18 Redigerad: 22 okt 2024 17:21

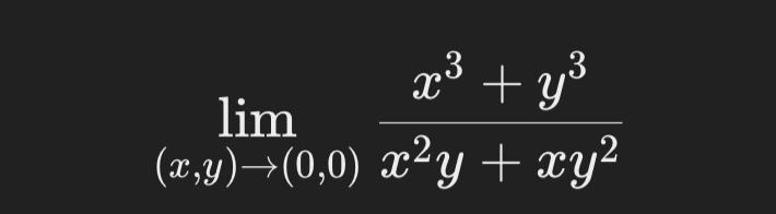
gränsvärdet

Hej! 

här ska jag undersöka om gränsvärdet existerar eller inte. 

Jag får enligt "path method" att längs x=0 och y=0 är gränsvärdet odefinierad och att det längs y=x blir gränsvärdet 1. 

Betyder det då att gränsvärdet inte existerar? 

eller måste jag använda r-metoden för att bevisa att det inte existerar? 

Dr. G 9648
Postad: 22 okt 2024 17:23

Det räcker att hitta två vägar som ger olika svar för att visa att gränsvärdet inte existerar. 

Plugga12 930
Postad: 22 okt 2024 17:25
Dr. G skrev:

Det räcker att hitta två vägar som ger olika svar för att visa att gränsvärdet inte existerar. 

exakt, min frågar är alltså: 

räknas "odefinierad-form" som en väg? 

Dr. G 9648
Postad: 22 okt 2024 17:30

Vägarna du har testat är längs x = 0, y = 0 och y = x. 

De två första ger dig något odefinierat och den tredje ger 1, så två olika svar och gränsvärdet existerar då inte. 

Svara
Close