10
svar
145
visningar
Gränsvärdet
Hejsan
Jag har fastnat på denna uppgift.
skulle man kunna få lite vägledning


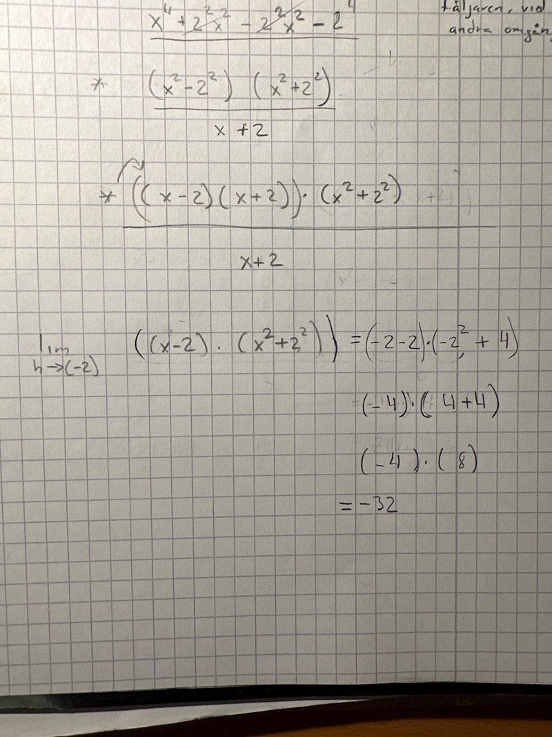
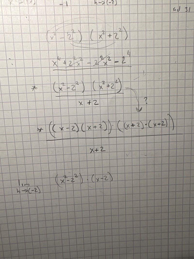
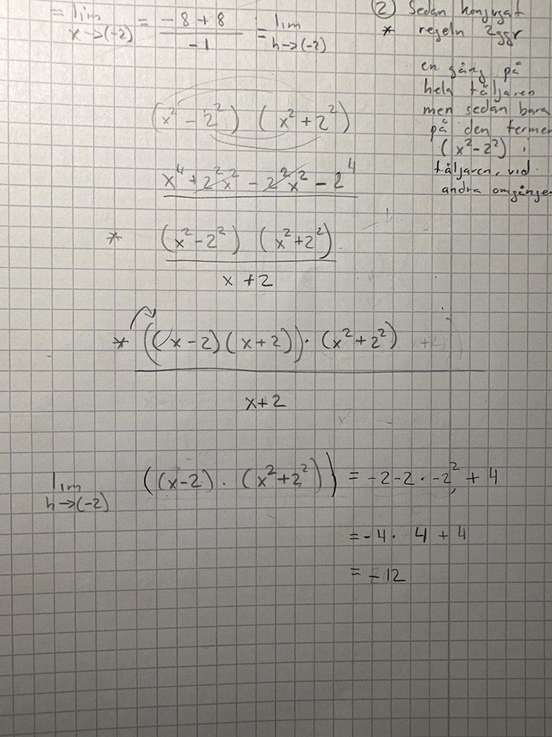
Använd konjugstregeln baklänges 2 går på täljaren
Biorr skrev:
Konjugatregeln 1 gång till
stämmer det med minus och plustecknen i parenteserna?
x2 + 22 kan du inte använda konjugatregeln på.
Du har lurat dig själv när du inte använder parenteser där du har skrivit -2-2*-22+4.
Just det, tog bort paranteserna för tidigt.

Såhär?
Det stämmer.

