3
svar
136
visningar
destiny99 behöver inte mer hjälp
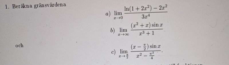
Gränsvärdetentafråga 1b
Hej! Såhär långt har jag kommit bara. Hur går man vidare? Är min subsitution bra? 
Jag hade slutat precis innan substitutionen. Du har något begränsat delat på oändligheten, så det går mot 0.
Micimacko skrev:Jag hade slutat precis innan substitutionen. Du har något begränsat delat på oändligheten, så det går mot 0.
Hur menar du? Varför går det mot 0?
Never mind jag förstår. Får det till 0 med