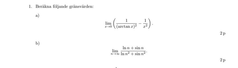
Gränsvärdeuppgift med ln och sin
Hej!
Jag skulle behöva en guide gällande 1b). Hur vet man vem som vinner kampen mellan sin och ln? Såhär har jag gjort hittils


Använd logaritmlag i nämnaren och dela sedan alla termer med ln(x).
Förenkla.
Sedan har du t.ex att
Dr. G skrev:Använd logaritmlag i nämnaren och dela sedan alla termer med ln(x).
Förenkla.
Sedan har du t.ex att
Ja jag gjorde det och du ser ju vad jag fick på första bilden. Sen konstaterade jag bara att sin(n) kommer gå snabbare mot 0 än vad ln gör så jag fick 1/2 som svar på gränsvärde
sin(n) och sin(n2) saknar gränsvärde i oändligheten, men de är aldrig större än 1, och nämnaren ln(n) går mot oändligheten, så kvoternas värde går mot 0.
Svaret blir då 1/2.
Dr. G skrev:sin(n) och sin(n2) saknar gränsvärde i oändligheten, men de är aldrig större än 1, och nämnaren ln(n) går mot oändligheten, så kvoternas värde går mot 0.
Svaret blir då 1/2.
Hur vet man att sin och sin(n^2) saknar gränsvärde? Kan det vara vi ej kan stoppa in vilka tal som helst i sin dvs sin(4) osv? Ln kommer gå mot oändlighet ja ju större x blir.
sin(n) är en periodisk funktion och antar på vilket intervall som helst med längd 2π alla värden mellan -1 och 1. Även för intervall "oändligt" långt bort. Den kan då inte ha ett gränsvärde i oändligheten.
Dr. G skrev:sin(n) är en periodisk funktion och antar på vilket intervall som helst med längd 2π alla värden mellan -1 och 1. Även för intervall "oändligt" långt bort. Den kan då inte ha ett gränsvärde i oändligheten.
Ja juste den pendlar ju bara hela tiden mellan -1 och 1 grafiskt så den kan ej gå mot oändligheten än -1och 1 då. Om den då saknar gränsvärde medan ln kommer ha oändligheten förstår jag ej hur hela kvoten blir 0?
En ändlig täljare och en oändlig nämnare går mot 0 oavsett.
Här har du
Båda fallen med -1 och 1 går mot 0, om än från - respektive från +. Det mellanliggande fallet går då också mot 0.
Dr. G skrev:En ändlig täljare och en oändlig nämnare går mot 0 oavsett.
Här har du
Båda fallen med -1 och 1 går mot 0, om än från - respektive från +. Det mellanliggande fallet går då också mot 0.
Aaa juste man kan använda squeeze theorem här