Gravitationsfältstyrka lösa ekvation
Hej,
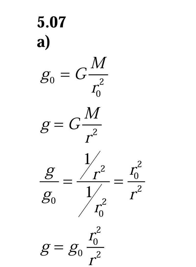
Jag håller på att försöka lösa denna uppgiften, kom så långt att jag löste ut g0 genom att ha GM/r0^2 på andra sidan ekvationen, förstår inte trots svaret i facit hur de kommer fram till resten? Kan någon hjälpa till och förtydliga hur de menar? Tack på förhand!


Solberga skrev:Hej,
Jag håller på att försöka lösa denna uppgiften, kom så långt att jag löste ut g0 genom att ha GM/r0^2 på andra sidan ekvationen, förstår inte trots svaret i facit hur de kommer fram till resten? Kan någon hjälpa till och förtydliga hur de menar? Tack på förhand!
Vilket steg är det du inte förstår? Man börjar med att definiera gravitationfältstyrkan på jordytan respektive någonstans ovanför jordytan. Därefter bildar man kvoten mellan de båda fltstyrkorna och löser ut det man vill ha ensant, d v s .
Hej,
Jag har suttit en stund till och där det kör ihop sig är hur jag ska få till ekvationerna på höger sida efter att jag har satt upp dem som kvoter av varandra . Försöker bli av med G och M, har försökt att ersätta M med gr^2/M men får bara kvar g i så fall.
Vänta lite här nu, kan jag ersätta GM med 1 för att de ändå är samma term? Och sedan vända 1/r0^2 till r0^2/1 och istället multiplicera med 1/r^2?
De som har gjort facit kunde gott ha satt dit en rad till ovanför den med g/g0 där man kan se GM i både täljare och nämnare, innan man förkortar bort dem. Sedan har man förlängt kvoten med (r0)2 för att slippa dubbelbråket.
(Det finns inget räknesätt som heter "vända på", lika lite som "flytta över " eller "flytta över och byta tecken.)
Haha nä det är nog mest jag som är van att säga så för att försöka hålla det enkelt för mig själv. Men innebär det då att min slutsats stämmer, att göra som bifogat?
Tack för hjälpen

Ja, du har gjort precis likadant som i facit.
Härligt då är jag med på noterna, tack för hjälpen!