1
svar
69
visningar
mrlill_ludde behöver inte mer hjälp
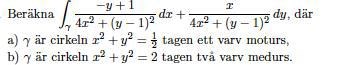
Greens formel

Denna funktion är ju inte definierad i men eftersom vi har cirklarna
a) med radien 0.5 och b) 2. Betyder det att cirkeln inte kan sträcka sig till , och därför kan vi tillämpa Greens?
Sedan, tänker jag rätt att gränserna för respektive kommer bli
dxdy? (för b nu då, a) får