Greens formel - fel svar...
Har gått igenom lösningen två gånger. Ser inte misstaget. Facit:


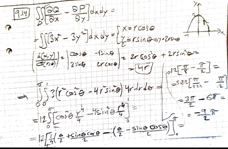
Till att börja med har du beräknat jacobianen fel, se över det.
Sedan har du fel integrationsgränser för vinkeln. Ändpunkterna ges av (0,2) och (1,0). Rita ut dessa i xy-planet så ser du vilket område du ska integrera över.
Tänk på att när du använder Greens formel för en kurva som inte är sluten måste du kompensera för den sista kurvbiten som sluter kurvan men som inte ingår i den kurva du räknar på.
Med det sagt kanske det är enklare är parametrisera kurvan och beräkna linjeintegralen direkt
Calle_K skrev:Till att börja med har du beräknat jacobianen fel, se över det.
Sedan har du fel integrationsgränser för vinkeln. Ändpunkterna ges av (0,2) och (1,0). Rita ut dessa i xy-planet så ser du vilket område du ska integrera över.
Jacobianen är ju rätt??? Jag ser i alla fall inget fel där! Sen håller jag med om att vinkeln går från 0 till så det är det enda felet, men jag får fel svar ändå :(
Soderstrom skrev:Calle_K skrev:Till att börja med har du beräknat jacobianen fel, se över det.
Sedan har du fel integrationsgränser för vinkeln. Ändpunkterna ges av (0,2) och (1,0). Rita ut dessa i xy-planet så ser du vilket område du ska integrera över.
Jacobianen är ju rätt??? Jag ser i alla fall inget fel där! Sen håller jag med om att vinkeln går från 0 till så det är det enda felet, men jag får fel svar ändå :(
Bland annat eftersom Jacobianen är fel.
Smutsmunnen skrev:Soderstrom skrev:Calle_K skrev:Till att börja med har du beräknat jacobianen fel, se över det.
Sedan har du fel integrationsgränser för vinkeln. Ändpunkterna ges av (0,2) och (1,0). Rita ut dessa i xy-planet så ser du vilket område du ska integrera över.
Jacobianen är ju rätt??? Jag ser i alla fall inget fel där! Sen håller jag med om att vinkeln går från 0 till så det är det enda felet, men jag får fel svar ändå :(
Bland annat eftersom Jacobianen är fel.
Är det uppställningen eller uträkningen som är fel?? Vad blir svaret?
Soderstrom skrev:Smutsmunnen skrev:Soderstrom skrev:Calle_K skrev:Till att börja med har du beräknat jacobianen fel, se över det.
Sedan har du fel integrationsgränser för vinkeln. Ändpunkterna ges av (0,2) och (1,0). Rita ut dessa i xy-planet så ser du vilket område du ska integrera över.
Jacobianen är ju rätt??? Jag ser i alla fall inget fel där! Sen håller jag med om att vinkeln går från 0 till så det är det enda felet, men jag får fel svar ändå :(
Bland annat eftersom Jacobianen är fel.
Är det uppställningen eller uträkningen som är fel?? Vad blir svaret?
Det är förenklingen som är fel.
Smutsmunnen skrev:Soderstrom skrev:Smutsmunnen skrev:Soderstrom skrev:Calle_K skrev:Till att börja med har du beräknat jacobianen fel, se över det.
Sedan har du fel integrationsgränser för vinkeln. Ändpunkterna ges av (0,2) och (1,0). Rita ut dessa i xy-planet så ser du vilket område du ska integrera över.
Jacobianen är ju rätt??? Jag ser i alla fall inget fel där! Sen håller jag med om att vinkeln går från 0 till så det är det enda felet, men jag får fel svar ändå :(
Bland annat eftersom Jacobianen är fel.
Är det uppställningen eller uträkningen som är fel?? Vad blir svaret?
Det är förenklingen som är fel.
Ajajaj, jag har gjort samma misstag minst 3 gånger innan ;((
Tillägg: 27 sep 2021 17:28
Se här
Men sen har du också det Calle_K skriver: du har inte ett slutet område, så för att använda Greens sats behöver du sluta kurvan, och med det sagt är kanske inte Greens formel bästa metoden för att lösa uppgiften.
Smutsmunnen skrev:Men sen har du också det Calle_K skriver: du har inte ett slutet område, så för att använda Greens sats behöver du sluta kurvan, och med det sagt är kanske inte Greens formel bästa metoden för att lösa uppgiften.
Yes! Men det går att använda greens ändå Eller hur?
Typ om jag omsluter området med en halv cirkel med radie 1?
Soderstrom skrev:Smutsmunnen skrev:Men sen har du också det Calle_K skriver: du har inte ett slutet område, så för att använda Greens sats behöver du sluta kurvan, och med det sagt är kanske inte Greens formel bästa metoden för att lösa uppgiften.
Yes! Men det går att använda greens ändå Eller hur?
Typ om jag omsluter området med en halv cirkel med radie 1?
Det är klart att du kan sluta området, oklart dock om halvcirkeln är ett bra sätt men testa!
Vänta lite nu, detta är väl rutten den tar:

Tillägg: 27 sep 2021 19:13
Du kan sluta kurvan enkelt med den sista kvartsellipsen och använda Greens. Sedan drar du bort arbetet för den biten av kurvan.
Jag skulle dock som de andra rekommendera arbete med linjeintegral som vanligt snarare än Greens då du slipper dubbelt arbete.
Ebola skrev:Vänta lite nu, detta är väl rutten den tar:
Tillägg: 27 sep 2021 19:13
Du kan sluta kurvan enkelt med den sista kvartsellipsen och använda Greens. Sedan drar du bort arbetet för den biten av kurvan.
Jag skulle dock som de andra rekommendera arbete med linjeintegral som vanligt snarare än Greens då du slipper dubbelt arbete.
Åh, tänkte fel även där! Och ja det är smart att omsluta ellipsen så som du skrev!