1
svar
89
visningar
Kovac behöver inte mer hjälp
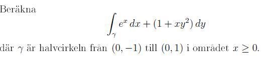
Greens formel, flervariabelanalys, felräkning?
Jag får rätt svar här men jag förstår inte om den sista parametriseringen stämmer. För man ska dra bort den räta linjen från det första resultatet men den linjen rör ju sig i negativ y-riktning? Alltså borde väl y-parametriseringen bli y=-t? Men jag har skrivit y=t och fått rätt svar. Hur? Det är väl så att man ska ha området på vänster sida om riktning man går i?
Med y=-t blir dy=-dt och svaret för den räta linjen borde väl bli 2 och slutsvaret pi/8 - 2? Eller är det att riktningen är samma och därför är y-parametriseringen positiv?
Uppgift:


Blandade ihop positiv och negativ parametrisering. Det är vid negativ man skiftar integralsgränserna