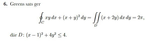
Greens sats, integrationsgränser
Hej! Jag vet inte hur jag ska få fram integrationsgränserna på denna. Har fått fram integralen med hjälp av greens sats. Fanns endast svar som inte visar hur man hittar gränserna

Kan du inte använda polära koordinater för en ellips
x = a cos v
y = b sin v
osv
Det blir en del trixande i substitutionen förstås, jag har inte provat själv.
Om man känner till definitionen av tyngdpunkt och arean av en ellips så kan man räkna ut svaret i huvudet.
Integralen blir tyngdpunktens x-koordinat gånger arean av ellipsen = 1 x = 1 x x 2 x 1 = .
Du kan införa variabelbyte.
u = (x-1)/2
v = y.
Området blir då u2 + v2 1, dvs ”enhetsdisken” D’.
= .
Först så ser man att
.
Vi gör variabelbyte som jag föreslog.
Jag antar att det är känt att arean av enhetsdisken är .