2
svar
70
visningar
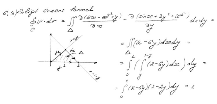
Greensformel
Hej, i lösningsforslaget för denna frågen, här vi sidor för triangelen lik y=x och y=0, och y=1-x.
men när jag beräknar den sista sidan så få jag att den är lik y=2-x och inte y=1-x. Så jag undrar på vilken som är rätt.
Och om y=2-x är rätt, kan jag använde 0<x<2 och x<y<2-x som gränser för området eller inte
