6
svar
138
visningar
Mazxd3 behöver inte mer hjälp
Grundläggande nivå fråga.
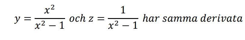
Frågan: Visa att funktionerna:
Har jag svarat på frågan korrekt, har jag missat något eller inte?



Lite omständig redovisning men helt OK.
Bra, men det var den svåra vägen.
Om två funktioner har samma derivata så skiljer de sig med bara en additiv konstant. Så om vi kan visa att dessa två gör det så är vi klara.
Tips:
Mazxd3 skrev:Har jag svarat på frågan korrekt, har jag missat något eller inte?
Ditt svar är korrekt och jag tycker inte att du har missat något. Tvättom är det ett par "onödiga" steg som jag tycker du kan ta bort:
- Varför gör du dessa skrivningar (gulmarkerade)?

- Nämnaren behöver inte skrivas om

Tack alla för hjälpen!
Kategorisering - Tråden flyttad från Alla trådar till Derivata. /admin