Hållf, bestäm punktens horisontella förskjutning


Varför blir min horisontella förskjutning ux fel? Svaret ska bli ux=PL*(2+20.5)/EA
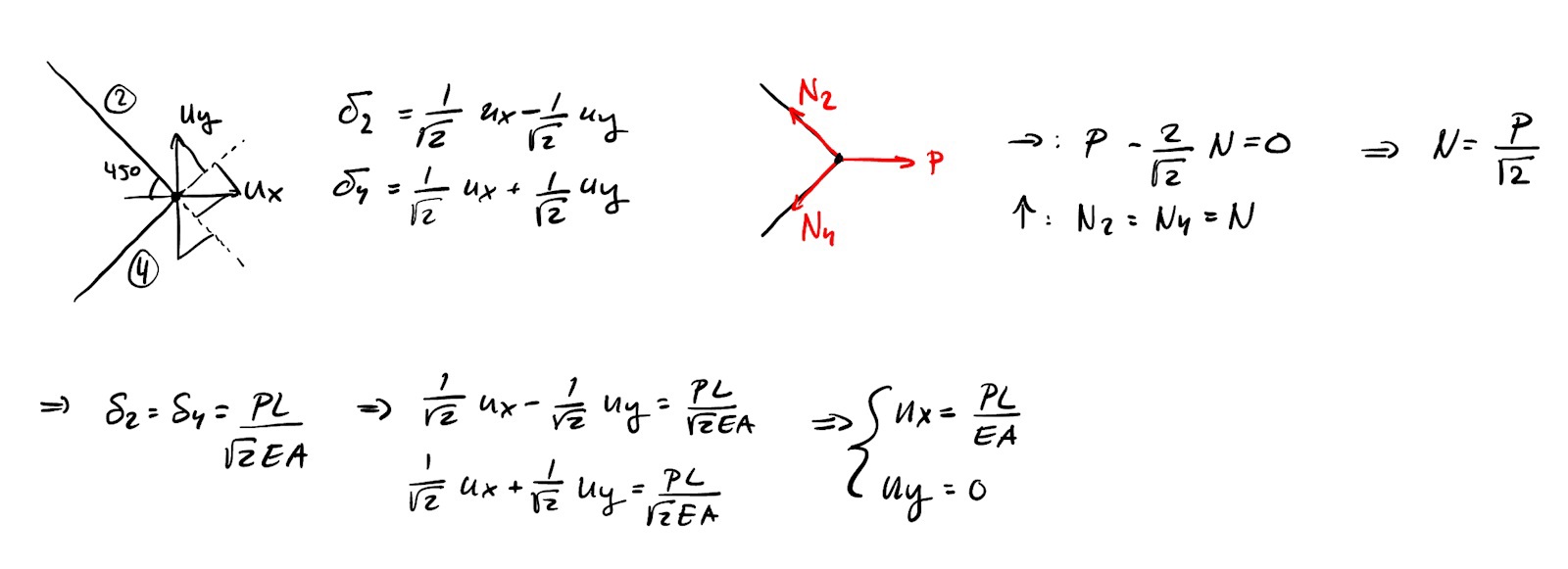
Har du räknat med stång #5 ?
Pieter Kuiper skrev:Har du räknat med stång #5 ?
Nej, såg i facit att man skulle göra det men skulle själv aldrig insett det? Hur vet man att man måste räkna med stång 5?
teknikomatte skrev:Pieter Kuiper skrev:Har du räknat med stång #5 ?
Nej, såg i facit att man skulle göra det men skulle själv aldrig insett det? Hur vet man att man måste räkna med stång 5?
Om stång #5 inte fanns, skulle minsta lilla kraft förflytta B tills de fyra andra stängerna var parallella. Plus lite till, beroende på EA.
Det inser man om man var barn i en tid då man lekte med Meccano.
Stång #5 komprimeras alltså. Den är inte oändligt styv, så denna kompression måste tas med i beräkningen.