2
svar
132
visningar
teknikomatte behöver inte mer hjälp
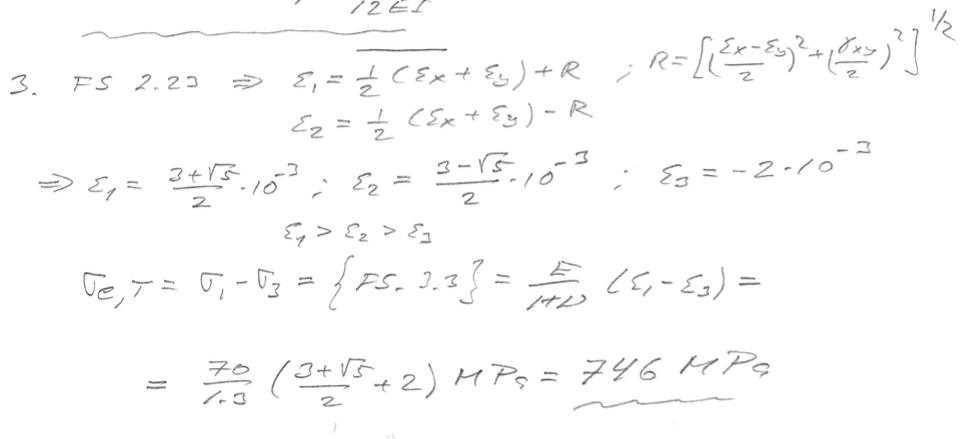
Hållf - Mohrs cirkel och Trescas hypotes


Förstår hur de tagit fram huvudtöjning 1 och 2, men hur får det sig att ?
Är det pga att om man hittar och så blir eftersom den automatiskt då är vinkelrät?