Hållfasthetslära: hitta fel, olik lösning och svar från facit
Hej,
återigen gör jag en aning annorlunda från facit och får fel svar, jag vill veta var jag gjort fel för min metod ska funka.

Facit


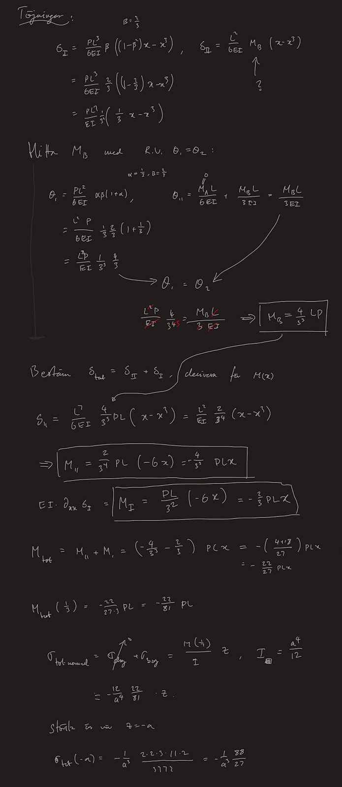
Jag gör på samma sätt tills ekvation 18 och jag får samma . Efter det snittar de för att hitta M(x), men jag tänkte bara räkna ut det genom att derivera förskjutningen eftersom jag redan får uttrycket för det i formelsamlingen för elementarfall.
Min lösning

Jag vet att min lösning är principiellt fel för att funktionen bara är giltig , och att jag egentligen inte vet om , men hursomhelst så får jag inte samma svar som facit vid så jag tror det är nåt slarvfel nånstans.
Jag ser felen nu, det ska vara 18-4=14, och så satte jag z=-a istället för z=-a/2.
Varför ska det vara 18-4=14 dock? Jag ser inga teckenfel.
Ja, du behöver enklast en integrerad dirac delta-funktion för att beskriva momentfunktionen utan strikt intervalluppdelning. Heaviside och Dirac delta är mycket vanligt vid matematisk hantering av balkteori.
Som du säger ska denna funktion vara kontinuerlig över punktkraften så du borde ändå få samma värde.
Det du gjort fel ser ut att vara att du adderat momenten felaktigt. De har alltså olika riktning i de två olika elementarfallen. Därför får du 18-4 (eller -18+4).
Om du inte ser det, lägg upp bild på elementarfallen så kan jag hjälpa att få det att klarna annars.
Tillägg: 30 maj 2023 17:30
Eftersom du använt nedböjningar och adderat dessa är det nog där felet ligger. De har nog olika riktning i punkten du tittar på.
Yes, fattar, hittade. Håller på med en annan uppgift nu också där tecken shenanigans tog 20min igen för mig att felsöka. Jag tjänar nog tid genom att vara försiktig från början
Visa spoiler
Räknade ut "25+32=57" men visste att jag ville ha 7, tänkte instinktivt att 32-25 är sju och letade baklänges till jag hittade ett teckenfel haha. deprimerande liv