2
svar
139
visningar
teknikomatte behöver inte mer hjälp
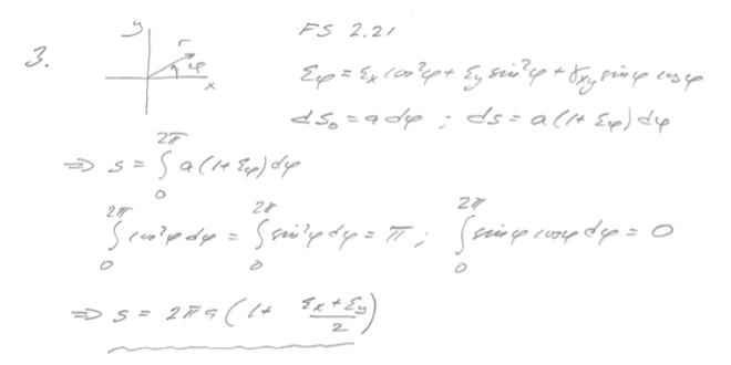
Hållfasthetslära plan spänning omkrets
Hej, har lite svårigheter med detta tal och skulle behöva lite hjälp.
Jag hänger med på allt som görs i facit förutom hur de tar fram vad dS0 är och vad dS är.


dS0 är längden på ett infinitesimalt element av cirkeln innan deformationen och dS är längden av samma element efter deformation.
