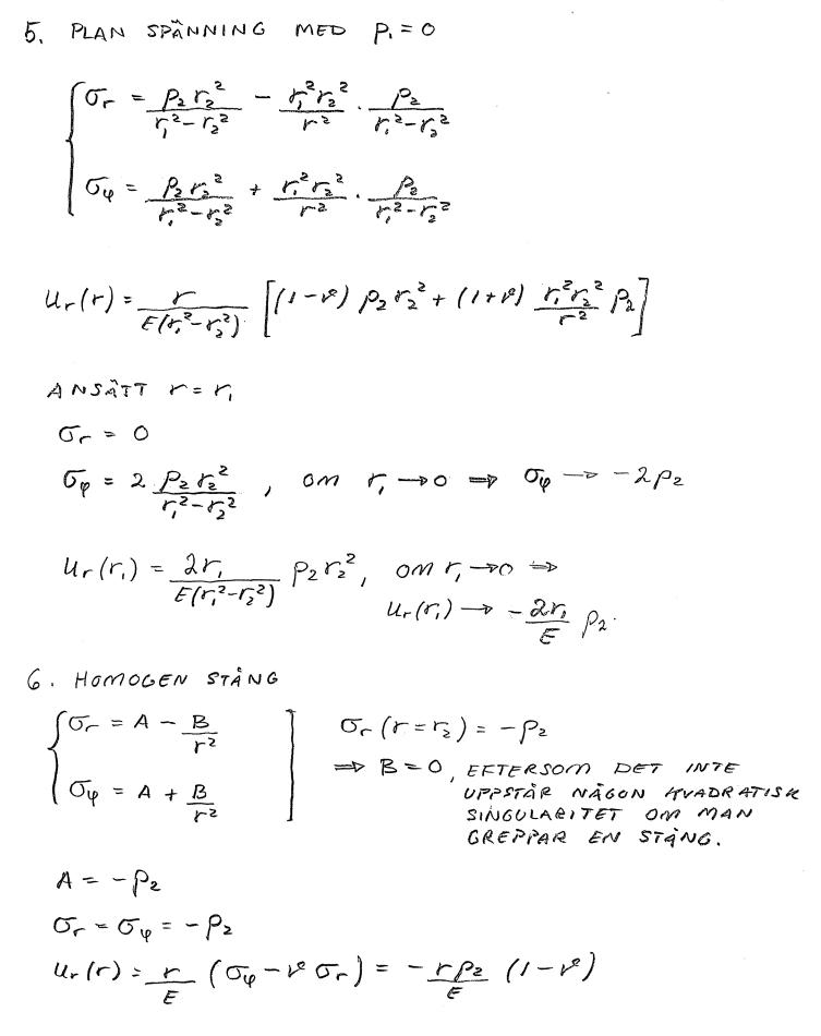
Hållfasthetslära: plana spänningstillstånd/deformationstillstånd
Hej, här är fråga och facit:
Visa spoiler



Min fråga är om hela frågan för jag fattar ingenting, jag ser inte ens hur de svarat på alla frågor frågan innehåller.
De vill alltså att man räknar ut alla spänningar (r-led, phi-led och z-led) och radiell förskjutning under två specialfall, plan spänning respektive plan töjning.
Gäller uttrycken för och som de härleder i delsteg 2) för uträckningarna för både deluppgift a) och b)?
I delsteg 3) räknar de ut , men vad hände med ?
Qetsiyah skrev:Gäller uttrycken för och som de härleder i delsteg 2) för uträckningarna för både deluppgift a) och b)?
Yes, Lames differentialekvationer för tjockväggiga rör och plattor gäller i båda fallen. De är olika specialfall och förenklingar egentligen.
I delsteg 3) räknar de ut , men vad hände med ?
Radiell töjning är inte intressant i denna uppgiften. För radiell förskjutning räcker det med töjning i ringled. Varför så är fallet blir mest intuitivt om man härleder det vilket jag skulle föreslå att du gör.