Hållfasthetslära: spänningstensor transformation
Hej, här är frågan och dess facit:
Men hur kan i den första fyrkanten x' --> x vara -30 grader, men y' --> y vara +60 grader? Det borde vara för 90+(-30)=60, men varför????
vinkeln mellan y' och y är väl 30 grader. När dem beräknar spänningen i y-riktningen kollar de på vinkeln mellan x' och y, dvs 60 grader.
Ja men WHY? Jag får damp
Haha, för sent nu. Jag förstår faktiskt inte heller märker jag och förvirrar mig själv.
Tillägg: 29 apr 2023 01:05
Eller jo. Det är att man använder Mohrs samband för att ta fram spänningen i en godtycklig riktning. Du har bara så det är bara den som ska transformeras. Du får därmed:
Det blir nog inte helt korrekt att skriva då det inte bara är en koordinattransformation involverad utan även arean. Att skriva så implicerar nämligen att det på något vis är spänningen i y'-riktningen vi transformerar vilket inte stämmer. Vi plockar ju ut alla komponenter av både kraftvektorer och areavektorer.
Tillägg: 29 apr 2023 01:10
Exempelvis om vi hade spänningar i x'-, y'- och x'y'-led skulle alla dessa bidra till varje respektive transformerad spänning.
Får det inte att stämma med formlerna i lärobok. Vilken vinkel är fi? Är det samma som alfa i Malvern?

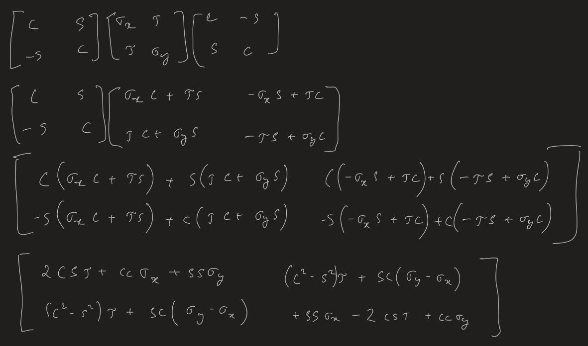
Det är , ja. Men som sagt förvirrar det mig att personen skrivit och då man transformerar spänningstensorn enligt:
Där är:

Då bidrar alla komponenter till den transformerade tensorn, inte bara y' för y etc.
Men din löper alltså först medurs -30 grader för att definiera från och sedan moturs 60 grader för att definiera från .
Edit: Ugh, sent nu. Många misstag. Godnatt.
Jag förstår inte här nu...
Jag får inte heller i hop det. Notera att formeln i Malverns bok (tex 3.5.3) beskriver spänningen i det ”barade”/”primmade” systemet uttryckt i storheter i det oprimmade systemet. Men denna formel ser ju likadan ut som den som ges i facit som beskriver oprimmade spänningen i termer av primmade storheter. Hur går detta till?
Det är för att det är relativt vad man väljer som primmat och oprimmat. Allt handlar i grunden om att man transformerar spänningstensorn till ett annat ortogonalt koordinatsystem genom att rotera en vinkel.
Mohr visade också detta ganska pedagogiskt med att snitta ett belastat element. Detta syns i din figur från #5.
Jag förstår inte vad du menar, kan du säga väldigt enkelt varför phi väljs till -30 i x och 60 i y?
Menar du varför den är negativ?
Annars för att du helt enkelt vill veta spänningarna i riktningar roterade 30 grader medurs och 60 grader moturs från original systemet.
Tillägg: 29 apr 2023 23:10
Du kan tänka med enkel mekanik också. Ta en kraft och räkna ut dess komposanter och ta fram resulterande normalspänning på ytan. Glöm inte att arean förändras över snittytan.
x' till x respektive y alltså? Då förstår jag.
Jag trodde bara phi skulle vara samma i uträkningen nya sigma-x och nya sigma-y
Jaha, de är olika i detta fall i det parametriska uttrycket. Det är bara en konsekvens av vad uttrycket egentligen beskriver. När du däremot transformerar tensorn är det koordinatsystemets vinkeländring du använder.

I detta fall har vi . Om du då har ett system utan skjuvspänningar men med och och utför matrismultiplikationen får du:
Här ser du alltså att om du vill gå från ovan till Mohrs parametriska beskrivning använder du komplementvinkeln. Det mest korrekta är så klart då att använda identiteten som man ska och därmed . Detta är speciellt viktigt för skjuvspänningarna. Man ska alltså generellt ha tungan rätt i mun när man använder Mohrs cirkel till exempel.
(Det blir omvänt nu när det nya systemet är primmat och gamla oprimmat enligt din bild)
Så jag skulle få den nya spänningsmatrisen =[40cos^2(-30), 0 ; 0, 40sin^2(-30)], och sedan få respektive genom att multiplicera matrisen med [1, 0] respektive [0, 1] och sedan få samma svar som facit eftersom sin^2(-30) = cos^2(60) (generellt sin^2(x)=cos^2(x+90))?
Tänk på att du har tre olika koordinatsystem. Jag vet inte om jag gör tråden rörigare eller enklare, men så här skulle jag resonera:
Vi ska addera tre enaxliga spänningstillstånd i två dimensioner (superposition). Det första tillståndet har den enda huvudspänningen i y-led. Dess matrisrepresentation ser ut så här:
Det andra enaxliga tillståndet kan anses vara i x-led och dess matris ser ut så här:
För att enkelt kunna addera det första tillståndet till det andra väljer vi att rotera det andra tillståndet så de två tillstånden är uttryckta i samma koordinatsystem. Vi roterar därför tensorn moturs. SaintVenant har visat dig hur man roterar en tensor.
Det tredje tillståndet kan man se som enaxligt i y-led . Dess matrisrepresentation blir då
Återigen vill vi uttrycka denna tensor i samma koordinatsystem som de övriga. Vi behöver vrida tensorn moturs.
Lägger vi slutligen ihop våra tensorer får vi:
Qetsiyah skrev:(Det blir omvänt nu när det nya systemet är primmat och gamla oprimmat enligt din bild)
Så jag skulle få den nya spänningsmatrisen =[40cos^2(-30), 0 ; 0, 40sin^2(-30)], och sedan få respektive genom att multiplicera matrisen med [1, 0] respektive [0, 1]
Yes!
och sedan få samma svar som facit eftersom sin^2(-30) = cos^2(60) (generellt sin^2(x)=cos^2(x+90))?
Yes! Jobbar lite på nedan för att göra det begripligt. Kan ha gjort en tabbe här och där som behöver rättas till.
Edit: Naej, tyvärr hittar jag inte hur jag ska formulera min poäng så vi lämnar det så.
Får jag då fråga en till potentiellt dum fråga
Ungefär som bilden PATENTERAMERA skickade, vad visar triangeln egentligen? Är den egentligen betydelselös? Borde inte bilden istället se ut nåt sånt här?
Det viktiga är att man formar en vinkel mellan y axeln och normallinjen till den önskade, nya, spänningsriktningen?
Jag inbillar mig på något sätt att det handlar om ett triangelformat differentialelement istället för kvadratiskt när de ritar på det sättet vilket är jätteförvirrande
D4NIEL: den biten förstår jag, att transformera matriser låter okonstigt. Men vad är skillnaden mellan den metoden och formeln som står i min formelsamling (och PATENTERAMERAs)? Specifikt, vad är skillnaden mellan vinklarna i de båda metoderna?
Det är ingen skillnad mer än att om man räknar med tensorer är det inte lika lätt att göra teckenfel någonstans.
Om vi helt fräckt klipper ut och använder Patenterameras figur och beteckningar:

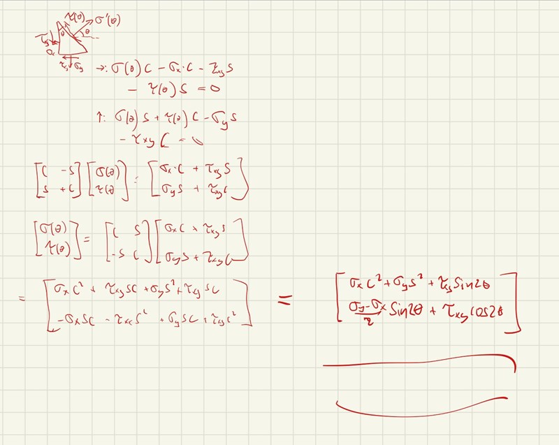
Vi ska alltså beräkna spänningarna på ett plan som bildar en vinkel med den positiva x-axeln. Vi ansätter spänningstensorn
En enhetsnormal till ytan är (i riktning i bilden) och en tangentiell riktningsvektor är (i riktning i bilden).
Spänningsvektorn blir och projektionen i normalens riktning blir skalärprodukten (med matriser och vektorer )
På samma sätt kan vi beräkna komponenten utmed ytan
Detta är ju exakt 3.5.3 och 3.5.4 som Patenteramera visat bild på ovan.
Vidare trigonometri ger
Man kan härled formeln genom att tillämpa kraftjämvikt på triangeln. Ursäkta handstilen.
s =
c =

Reserverat för många fel kan jag ge min ganska snäva förståelse av det hela efter att en gång själv funderat på samma sak.
Qetsiyah skrev:Ungefär som bilden PATENTERAMERA skickade, vad visar triangeln egentligen? Är den egentligen betydelselös?
Enkelt sagt så visar den vad spänningen är inuti elementet. Men, kom ihåg att du kan göra sidlängderna oändligt korta och det är därmed bara deras inbördes relation som är viktig. I detta fallet är alltså triangeln högst betydelsefull därför att den beskriver vinkeln som snittplanet har i förhållande till sidorna och hur arean förändras (viktigt!). Vidare kan den ge oss motivation för hur man transformerar spänningar i två dimensioner. Man kan göra en likadan härledning i tre dimensioner även om den är lite fulare.
Rent geometriskt ser vi direkt att det alltid finns en vinkel som ger ett skjuvspänningsfritt snittplan och då är normalspänningen som bekant per definition en huvudspänning. Eller, egenvärde till Spänningstensorn.
Det viktiga är att man formar en vinkel mellan y axeln och normallinjen till den önskade, nya, spänningsriktningen?
Jag inbillar mig på något sätt att det handlar om ett triangelformat differentialelement istället för kvadratiskt när de ritar på det sättet vilket är jätteförvirrande
Ja, vad ska man säga, det är ju saker som sker på differentialelement och man snittar alltså för att titta på vad som sker inuti elementet. Sedan finns det ett matematiskt trick som går från på element till inuti element och tillbaka till på element genom våra kära infinitesimaler:

Vi kan alltså ovan beskriva en kraftjämvikt som vi rationaliserar till att förekomma i en punkt genom att formulera elementet som infinitesimalt litet. Med andra ord är det bara en grafisk representation som ska kunna underlätta den geometriska motivationen. Du skulle kunna göra det utan infinitesimaler enligt följande.
Härledning
En kvadrat med sidor belastas med krafter per längdenhet som:

Vi vill veta hur det ser ut inuti kvadraten längs med ett snittplan roterat φ = 70°. Vi tittar då på detta snittplan:

Sidorna blir nu kortare enligt ett mycket enkelt samband och vi får följande kraftsituation:

Vi får alltså med jämvikt längs normalen till snittytan:
Föga förvånande reducerar detta till:
Slutsats
Alltså, för beskrivning av spänningstillståndet, verkar det till synes inte vara särskilt viktigt hur man definierar sitt element då det bara är inbördes sidrelationer som är viktiga. Jag skulle referera dig till en kursbok med en mer ingående motivering men just nu börjar jag bli ltie dragen så... slut för denna gång.
Glad valborg!
PATENTERAMERA: vad roligt att du också förkortar på det sättet! Jag multiplicerade ihop SaintVenants formel s' = A s A^T bara för att se att det stämde och skriver också sin(theta)=s och cos(theta)=c, den verkar för övrigt se ganska lika ut som ditt högerled.
Hursomhelst, det du gör är alltså vanlig mekanikjämvikt som SaintVenant sa tidigare genom att lösa sigma' och tau' som är okända ur jämviktsekvaitonerna?
SaintVenant: Okej, men när vinkeln blir större än 90 då? Motsvarar det att man snittar kvadraten från det vänstra nedre till övre högra hörnet då?
Ja, precis, vanlig jämvikt. Detta brukar man även anse gälla då materialet är i rörelse, eftersom för ett infinitesimalt element kan volymskrafter och tröghetskrafter försummas i förhållande till ytkrafterna.
Vänta, hur pekar ditt koordinatsystem i den härledningen? Är inte någon axel parallell med varken någon av de gamla spänningarna eller den önskade? Varför är det sinus och cosinus i alla termer?
Och du har struntat i prim på eller hur?
Ja, de motsvarar primmade. Jag försökte härleda de formler som fanns i facit.
x-riktning är horisontell och y-riktning vertikal, som vanligt.
Man måste tänka på att det är spänningar, dvs kraft per ytenhet, så man måste vikta med de relativa storlekarna på ytorna när man formulerar kraftjämvikten.
Ah, ah, ah! Bra, jag förstår!
Men då är både min ursprungliga fråga och följdfrågan om triangeln uppklarad, det är glasklart nu! Tack till dig och tack SaintVenant!
Tack för dina förklaringar också D4NIEL men de var lite svåra att förstå, vanligtvis föredrar jag mattevinklade eleganta förklaringar men just denna kurs har jag redan svårt för och gillar inte så värst mycket, så dumanpassade förklaringar är bättre just nu.



