Hållfasthetslära: spänningstillstånd i en oändligt stor kvadrat
Hej, se följande fråga:
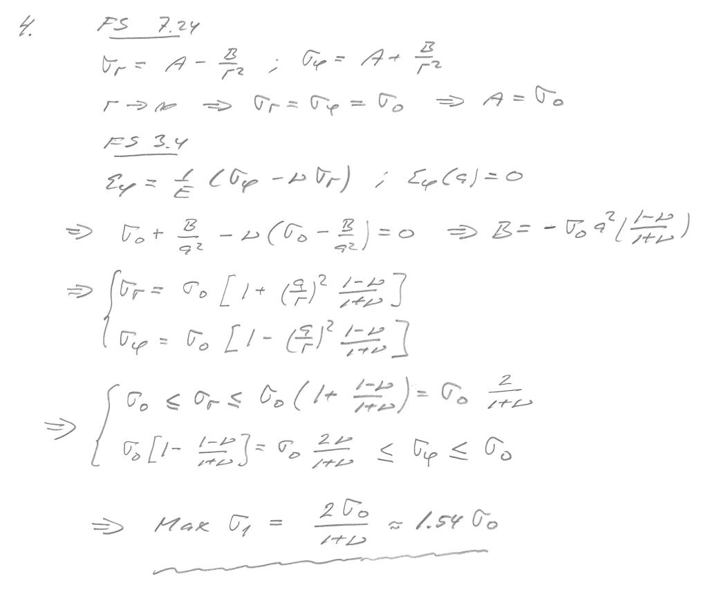
Och facit:
De använder formlerna för tjockväggiga tryckkärl och sätter radiella och vinkelspänningen konstanta till , hur kan det stämma? Vi är givna kartesiska spänningar:

Och inte cylindriska:

Eller hur?
Vid oändligheten händer konstiga saker. Du kan enkelt kolla om det stämmer i gränsvärdet genom att ställa upp ett uttryck för jämvikt mellan spänningarna på en cirkulär rand och på en kvadratisk dito. Förslagsvis med krafter och någon slags integral.
Men är det något jag ska kunna inse snabbt på en tenta? Det här var en tentafråga
Nja, det är ganska elakt att ha det som tentafråga. Jag har sett värre då denna har ganska många ledtrådar och en direkt ledning. Bland annat är det en bra gissning att det är på randen av den stela skivan som störst huvudspänningar kommer uppstå. Att beskriva spänningstillståndet med cylindriska koordinater blir då kanske en bra utgångspunkt.
Att använda Lames ekvationer som egentligen är differentialekvationer med lösningskonstanter och bör vara en närbelägen tanke. Sedan kan man då kanske strax börja gissa att det är några intressanta randvillkor man behöver använda (, ).
Men, att kunna göra detta när tiden är knapp? Knappast. Det gör man bara om man är något slags geni, har gjort det förut eller har extrem tur.
SaintVenant skrev:Men, att kunna göra detta när tiden är knapp?
Tiden för tentor på universitet brukar vara väl tilltagen, fem eller sex timmar betraktades som någon typ av mänsklig rättighet.
Sedan är det inte ovanligt att vad som ser ut som svåra problem på en tenta har tagits upp i kursen (i alla fall något som är liknande).
Pieter Kuiper skrev:Tiden för tentor på universitet brukar vara väl tilltagen, fem eller sex timmar betraktades som någon typ av mänsklig rättighet.
Jag vet inte om detta är ML1214 eller vilken det nu är men jag tror att det är rätt många uppgifter man ska göra på tentan. Att lösa 8-12 stycken tar tid även om man vet vad man ska göra.
Men, inflation på överbetyg råder, kan jag tycka, när det verkar vara så vanligt med kursbevis proppfulla med överbetyg utan att studenterna för den delen erhållit spetskompetens på området. Detta kanske signalerar att uppgifter som denna ämnar att tentera om man faktiskt tagit till sig av materialet på djupet. Å andra sidan är detta mer matematik än materialmekanik och då vet jag inte om det ska klassas som en sund examinering av kursinnehåll.
Sedan är det inte ovanligt att vad som ser ut som svåra problem på en tenta har tagits upp i kursen (i alla fall något som är liknande).
Ja, det är högst sannolikt i detta fall. Jag drar mig åtminstone till minnes en eller två uppgifter i Hibbelers bok som ser liknande ut.

