Hållfasthetslära: Sväningar hos massa
Hej! Jag håller på med uppgiften nedan och har väldigt svårt och förstå hur dem fick fram och . Jag är medveten att det har något med små vinklar samt tangens eller sinus att göra. Men jag kan bara inte se hur dem fått fram sambanden för och från bilden som ritats.


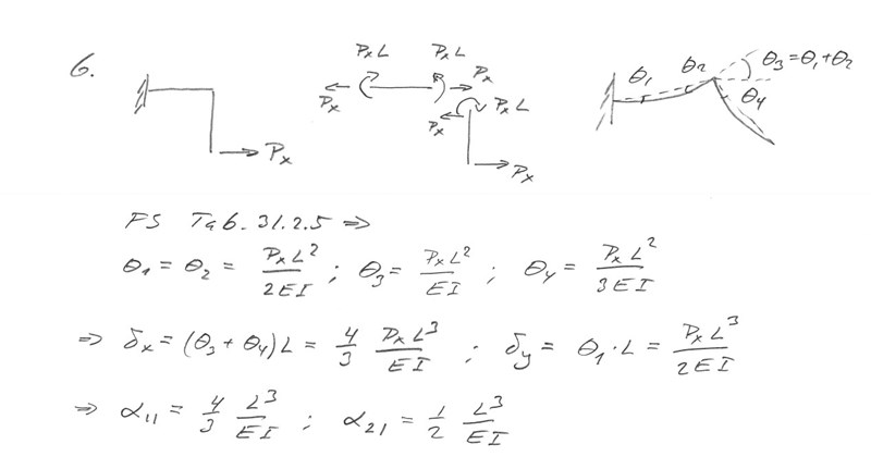
Jag förstår inte riktigt helt vad de gjort då eftersom balken är fast inspänd där. Hursomhelst får du lätt fram från elementarfall 2 för och . Det blir ju utböjningen för övre balken vid sin högra ände på grund av att axiell deformation är försumbar hos båda balkarna.
Sedan har du då en vinkel på den övre balken som den nedre balken måste relateras till vilket gör att dess utböjning blir denna vinkel gånger längden på nedre balken plus utböjning enligt elementarfall 1. Denna gång också med och .
Tillägg:
Du har alltså denna vinkel i högra änden på övre balken:

Tillägg 2:
Att begrunda denna figuren kan säkert hjälpa också:
