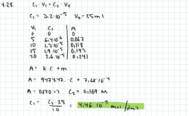
Halt fosfatjoner i ett dike spektrofotometr


jag förstår inte hur svaret blir som det blir. I facit gör de en jätte konstig standardkurva med volym på x-axel.
Jag gör såhär

Att volymen, d.v.s. den variabeln som ändras sätts på X-axeln, och resultatet (som är beroende av variabeln) sätts på Y-axeln är vanligt. Precis som t.ex. tid sätts på X-axeln och höjden som är beroende av tiden sätts på Y-axeln.
Okej ja, men jag förstår inte hur det ska användas eller skulle vara lättare i just denna uppgift? Varför kan man inte göra en vanlig standardkurva med absorbans på y-axeln, och koncentration på x-axeln?
Jag skulle ha ritat en kurva med koncentrationen av fosfatjoner (i kyvetten) på x-axeln och absorbtionen på y-axeln.
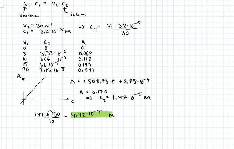
hmm, vad gör jag för fel då? (Jag ändrade nu från första beräkningen) så totala volymen efter spädning var 30 ml, och inte 25. Men det är fortfarande fel svar?
Vad står det för värde i facit? Vad är det man har blandat med dikesvattnet? Bilden är litesuddig, så jag har svårt att läsa.
Dikesvattbet har spätts som övriga lösningar. Så det är 10 ml dikesvatten, spätt till en totalvolym på 30 ml.
Såhär står det i facit.

Kan det vara fel i facit?
Vi kan väl försöka räkna från bilden i facit och se vad vi får fram... Hur många ml tycker du att det ser ut som att absorbansen 0,14 motsvarar? Om det är 14 ml blir koncentrationen 14.c1/30 i kyvetten och 3 ggr så stor i dikesvattnet, d v s 4,48*10-5 mol/dm3. Om det är 12 ml blir koncentrationen 3,64.10-5 mol/dm3.
Okej om jag tänker så blir volymen ungefär 13.84 ml, och då blir c ungefär samma som jag fick när jag använde den andra metoden. Då borde väll den metoden vara bättre? Eftersom det svaret blir mer exakt och lättare att ta fram?
Jag tycker facits diagram är ruskigt svårt att avläsa. Om jag löste den här uppgiften skulle jag ha satt koncentrationen i kyvetten på x-axeln och absorbansen på y-axeln. Det är värdelöst att svara med 3 värdesiffror när det är så svårt att avläsa diagrammet.
Jag håller med, men absorbansen var 0,17 och om jag skrev in och gjorde exakt samma diagram som i facit och läste av den exakta volymen i räknaren fick jag samma svar som när jag gjorde en standardkurva som A = k*c. Då blev svaret 4,43*10-5 mol/dm3. Min slutsats blir att det står fel i facit, om ingen säger emot :)