Halten salpetersyra i regnvatten
När man ska bestämma halten saltpersyra i regnvatten kan man använda följande metod.
Regnvatten får rinna sakta genom en s.k. kadmiumreduktor. Den innehåller kadmiummetall som reducerar nitratjonerna till nitritjoner. De får sedan reagera med azofärgämne och ger då en starkt färgad förening med absorptionsmaximum vid 535 nm. Standardlösningar(som alltså innehåller kända halter av nitrat) behandlas på samma sätt.
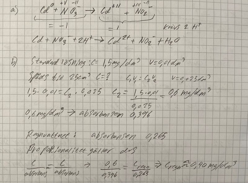
a) skriv reaktionsformel för när nitratet reduceras till nitrit i reduktorn (kadmium oxideras till Cd2+)
b) Vid en analys lät man 10.0 cm3 regnvatten rinna genom kadmiumreduktorn. Vattnet samlades upp i en mätkolv på 25 cm3. Reduktorn sköljdes med avjonat vatten som också togs upp i mätkolven. Efter tillsats av azofärgämnet späddes provet till exakt 25 cm3. Absorbansen vid 635 nm uppmättes till 0,265.
10,0cm3 av en standardlösning som innehåller 1,5 mg nitratjoner/ dm3 behandlas på samma sätt. Den gav absorbansen 0,396 vid 535 nm.
Beräkna nitrathalten i regnvattnet. Ange halten både i mg/dm3 och i ppm.
Jag förstår verken a eller b tyvärr, tacksam för en förklaring! :)
Välkommen till Pluggakuten!
Har du lärt dig hur man använder oxidationstal för att ta fram redox-reaktionsformler?
Smaragdalena skrev:Välkommen till Pluggakuten!
Har du lärt dig hur man använder oxidationstal för att ta fram redox-reaktionsformler?
Hej, helt glömt att jag frågade detta. Rotade fram lite anteckningar från kemi 1 och kom fram till denna lösning. Kan det stämma? Gällande b så använder jag mig av proportionalitet, verkar det stämma?
Vg se bild
Tack för svar!
Smaragdalena skrev:Välkommen till Pluggakuten!
Har du lärt dig hur man använder oxidationstal för att ta fram redox-reaktionsformler?
Puffar upp denna och hoppas på svar :)
Jämviktsekvationen skrev:Smaragdalena skrev:Välkommen till Pluggakuten!
Har du lärt dig hur man använder oxidationstal för att ta fram redox-reaktionsformler?
Puffar upp denna och hoppas på svar :)
Din reaktionsformel ser ut att stämma.
Det ser ut som om b-uppgiften också funkar. Man brukar använda sig av Lambert-Beers lag, men det är i princip samma sak.
Fast du har bara svarat på hälften av det man frågar efter.