Halveringstid
Som flera andra här så kämpar jag på med halveringstid vad gäller radioaktivt sönderfall.
Kasta 60 st tärningar. Alla sexor som kommer upp "faller bort". Fyll i resultatet i en tabell med tid i dygn och antal kvarvarande kärnor. Avbryt försöket efter 10 dygn. Bestäm den experimentella halveringstiden för preparatet som tärningarna simulerar genom avläsning i tabellen.
Antal dygn - Antal kvarvarande tärningar
0 - 60
1 - 47
2 - 38
3 - 31
4 - 23
5 - 19
6 - 16
7 - 12
8 - 11
9 - 9
10 - 6
Halveringstid:
Hur avläsningen gick till:
Så, hur räknar jag ut halveringstiden?
Är det den formeln jag skall använda? Jag vet inte ens vad sakerna står för exakt, tänker jag rätt om det är:
N(t) är antalet återstående atomer vid tiden t
t är tiden
T är halveringstiden
Men då är N(0) startantalet av tärningar? Vore supertacksam för lite guidning i hur jag ska tänka kring de olika termerna i uträkningen, uträkningarna bör jag klara själv.
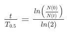
Den formeln är en bra utgångspunkt, och du har fått rätt på variablerna, förutom att halveringstiden är (så du inte tror att 0.5 är en multiplikativ faktor eller så).
Det finns lite olika sätt att försöka räkna fram halveringstiden utifrån dina mätdata, men ett första bra steg kan vara att lösa ut halveringstiden i formeln. Sen kan du beräkna den experimentella halveringstiden antingen för varje "dygn" för sig (genom att använda föregående dygns kvarvarande tärningar som N(0) och alltid ha t=1), eller alltid utgå från dag 0.
Men det kan vara så att du gör det för svårt för dig. Det står i uppgiften att du ska bestämma halveringstiden "genom avläsning i tabellen", så de kan mena att du bara ska titta i tabellen efter hur lång tid det verkar ta innan antalet tärningar har halverats.
Jag tror att jag förstår hur du menar, tack! Men däremot när jag väl skulle börja räkna så får jag inte fram rätt svar:
Jag provade att ta det femte dygnet: 19(0)x2^-1/0,5 = 0?
N(O) är ju inte 0.
Jag kanske borde ha ett positivt plus i täljaren tänkte jag men nej, det spelar ju ingen roll: 19(0)x2^1/0,5 = 0
Sen tänkte jag, "aha, såhär är det": 19x2^-1/0,5 = 19...
Jag fattar inte! Jag kan ju inte räkna i formeln med att jag redan vet hur många som är kvar (19) det femte dygnet för att sedan räkna ut att jo, det var 19 precis som jag redan visste? Jag snurrar kanske till det men vet ej hur jag ska få rätsida på detta.
Och, när T och 0,5 (nedsänkt; vet ej hur man gör det på datorn), vad står det för egentligen? Eftersom det inte är en multiplikativ faktor, vad är det liksom jag räknar ut? Halva halveringstiden?
Först: är halveringstiden, 0.5 ska inte tolkas som ett eget tecken utan är ett index eller en beskrivning av vilken tid det är som avses. Du kan skriva det genom att använda antingen rottecknet i menyn, vilket tar dig till formelinmatning, eller genom att skriva latexkod mellan dubbla dollartecken: $ $T_{0.5}$ $ (men skippa mellanrummen mellan dollartecknen).
Du får som sagt börja med att lösa ut halveringstiden ur formeln:
Därefter får du stoppa in N(0), N(t) och t i formeln, för valt mätvärde.
Hej igen efter jullovet!
Jag sitter nu här och försöker förstå vad det är jag ens håller på med.
Hur löser jag ens ut halveringstiden ur den fina formeln du gjort? Jag vet liksom inte ens vad de olika sakerna står för, det är främst N(0) som jag fastnar vid när jag ska försöka räkna? Jag har ju enbart skrivit om N(t) och vet vad det betyder men vad står N(0) för?
är helt enkelt när , d v s antalet tärningar från början (i det här fallet).
Men jag kan ju lätt se i tabellen vad halveringstiden är? Eller?
Jag vet inte ens vilka värden jag skall försöka räkna med, säg då om jag skulle lösa ut halveringstiden ur formeln 
Tiden är 10 dygn: 10/2^T0,5 = 5^T0,5
5^T0,5 = 60/6
5^T0,5 = 10
Vad betyder det ens?
Vad är ln?

10/T0,5 = ln(60/6)/ln(2) ???
ln(x) är naturliga logaritmen, ofta kallad log(x).
Funktionen lär man sig i Ma3. Om du inte har kommit dit i matten behöver du inte bekymra dig.
Det står i uppgiften att du skall läsa av halveringstiden i tabellen. Du (eller vi!) krånglar till den här uppgiften alldeles för mycket. Du skall titta efter i tabellen hur många dagar det tar tills bara hälflen av tärningarna (30 st) är kvar. Stämmer det att det är cirka 15 stycken kvar, när det har gått två halveringstider och ungefär sju, åtta tärningar kvar när det har gått tre halveringstider?
Men hur ska jag lösa ut halveringstiden? Jag förstår inte! Kan inte någon ta ett exempel och visa, det behöver inte ha med min uppgift/mina värden att göra, för jag räknar och räknar men vet ej hur jag ska få ut halveringstiden:( Jag vill bara förstå hur jag skall kunna lösa ut det ur formeln.
Tack!
Nja, det stämmer ju inte riktigt. Men om jag studerar tabellen så kan jag se att efter;
ca 3 dygn = ca 50% sönderfallit
ca 6 dygn = ca 75% sönderfallit
ca 9 dygn ca 87,5 sönderfallit (nåja, inte riktigt)
Är det så jag ska skriva som svar? Det står ju även "Bestäm den experimentella halveringstiden för preparatet som tärningarna simulerar genom avläsning i tabellen."
Så då skulle det kunna vara ca 3 dygn som är den experimentella halveringstiden? Kan jag räkna ut på något sätt och stärka mitt resonemang med uträkningar?
Ja, halveringstiden är cirka 3 dygn. Man kan skriva det som . är antalet "kärnor" (tärningar) efter tiden dagar, är antalet "kärnor"(tärningar) från början, är halveringstiden.
Hej. Jag håller på med samma uppgift men förstår inte. Finns det någon som kan vara extra pedagogisk?
Ifall man skippar tabellen och försöker få in att det är 1/6 chans att man slår en 6 varje gång man kastar i ekvationen. Hur gör man då?
Moonshine0000 skrev:Hej. Jag håller på med samma uppgift men förstår inte. Finns det någon som kan vara extra pedagogisk?
Ifall man skippar tabellen och försöker få in att det är 1/6 chans att man slår en 6 varje gång man kastar i ekvationen. Hur gör man då?
Då skall du lösa ekvationen för att få fram halveringstiden .
Tack för svar men jag förstår inte. Kan du sätta in siffrorna?
Moonshine0000 skrev:Tack för svar men jag förstår inte. Kan du sätta in siffrorna?
Det har jag ju redan gjort?!! Börja med att dela båda sidorna med N0, och logaritmera sedan båda sidorna. Om du har läst Ma3 kan du använda den naturliga logaritmen, annars får du nöja dig med 10-logaritmer.
Vad menar du med ^t...
Kommer det något mer eller?
Knappar jag in det som du skrev så får jag 0.3868.
Vad är det för något?
Det blev fel siffror innan. När sannolikheten att sönderfalla är 1/6 är ju sannolikheten att INTE sönderfalla 5/6, och ekvationen du skall lösa är och inte den jag skrev. Ursäkta mitt hjärnsläpp! Det du har räknat ut är halveringstiden om det bara är t ex sexorna som "överlever".
Ok nu fattar jag. Tack så mycket
Äntligen kan jag sova 🙏