Halveringstid tärningar
Jag håller på med en laboration som handlar om halveringstid. Följande är instruktionerna till själva labben:
A: Skaka 100 tärningar i en låda och häll ut dem på ett bord. Tag bort alla tärningar somvisar en sexa och anteckna hur många tärningar som finns kvar på bordet. Sexorna symboliserarde atomkärnor som har sönderfallit.Om du bara har 10 tärningar så kastar du de tio tärningarna tio gånger och räknar påmotsvarande sätt hur många som visar sex.
Steg B: Placera de återstående tärningarna i lådan, skaka om och häll ut dem på bordet. Tag bortalla som visar sex och räkna dem som finns kvar på bordet.
Steg C: Fortsätt tills det endast finns 10 kvar, dvs en om du använder 10 tärningar.Steg D: Rita ett diagram över antalet kvarvarande tärningar vid respektive kast. Bestäm med hjälp av diagrammet ”halveringstiden för tärningar”.
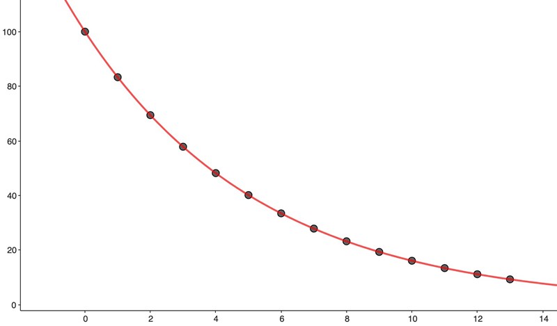
Följande värden har jag fått fram:

Jag antar att halverings"tiden" är för antal slag i denna uppgift eftersom det nämndes inget om att mäta någon tid. Hälften av 100 ät ju 50 och fick ju fram detta värde efter fjärde kastet när jag utförde själva laborationen, och halveringstiden borde därmed bli "4 kast". Det blir alltså inte särskilt mycket till beräkningar. Min fråga är om jag skulle kunna utveckla laborationen på något vis med egna följdfrågor och beräkningar som hade kunnat göra laborationsrapporten "bättre" och isåfall vad?
Du skulle kunna göra en teoretisk beräkning av halveringstiden också. Du vet ju hur stor sannolikhet det är att en tärning "överlever" ett kast, så där har du förändringsfaktorn. Stämmer detta med ditt uppmätta värde?
Tack för tipset! Alltså det jag antar att du menar är att sannolikheten att slå en sexa är en 1/6. Räknade ut värdena i en ny tabell genom att multiplicera med 5/6, eftersom jag då fick hur många tärningar som teoretiskt skulle vara kvar. Det första diagrammet visar de värden som jag fått fram och som delades i tabellen i första inlägget. Den andra visar de värden som den teoretiska beräkningen gav.


De är ju väldigt lika, så kan ju dra slutsatsen att mina värden stämmer rätt så bra överens med de teoretiska. Att de avviker lite är på grund av slumpen?
Är det nått annat som hade varit relevant att få med? Kan jag inkludera formeln för halveringstid på något vis?
Ja, du skulle kunna beräkna halveringstiden för den teoretiska och jämföra värdet med det du har fått fram experimentellt.
Ja det låter bra! Tack för hjälpen!