Halveringstid. Två ämnen
Hej hej! Jag skulle verkligen uppskatta lite hjälp med den här uppgiften:

Jag vet inte hur jag ska lösa den. Det känns som att jag ska ställa upp en ekvation där jag har x som tid, men jag vet inte hur.
Skulle någon kunna hjälpa mig? :)
Tänk på de två ämnena var för sig. Skriv upp en tabell för ämne A och ämne B: "hur mycket kvar" samt "hur lång tid har det gått".
För ämne A ser det ut såhär:

Du kan också tänka "antal halveringstider", dvs i listan ovan så är det noll halveringstider, en halveringtid, två halveringstider, tre halveringstider...
Okej, jag har gjort en tabell för varje ämne.
Då ser jag att efter 40 minuter finns det 2.5g av ämne A och av ämne B.
Alltså blir svaret efter 40 minuter, eller hur?
Men går det att lösa uppgiften med typ en ekvation? Jag tänker ifall det skulle finnas mer av ämnena kanske det tar tid att göra tabeller...
Jo, det är sant, det går snabbare med ekvationer, jag kan förklara mer med ekvationer i framtiden, men jag är bara osäker på om du förstår då, det kan bli för svårt, har du lärt dig om potenser?
Den generella formeln för hur mycket massa det är kvar efter tid är:
- är halveringtiden.
- betyder alltså hur många halveringstider det har gått, tex det har gått 27 år och halveringtiden är 3 år, då har det gått halveringtider.
- Du tar två upphöjt till antal halveringstider för att veta hur många gånger du ska halvera ursprungliga massan , det vill säga vi gångrar på
Tack!! Jag tror att jag förstår och jag testar att stoppa in värden i formeln. Jag har kommit så här långt:
stämmer det ungefär? Alltså att jag satt 40g som och 10 minuter som halveringstiden ?
har du lärt dig om potenser?
Ja asså jag har lärt mig grunderna.
Du kan även skriva om ekvationen som Qetsiyah skrev till:
. Det är bara en omskrivning, men den kanske ger dig en extra förståelse! :)
Men wow, superbra!
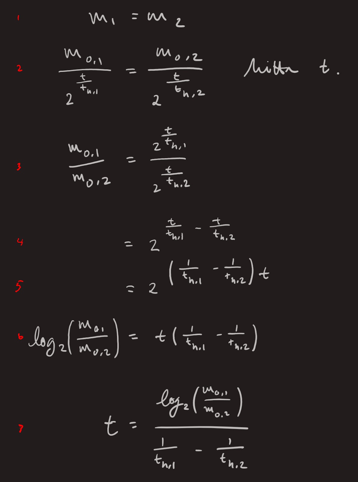
Du får två olika ekvationer för två olika , kalla de och de har olika startmassa och olika halveringstider! Sätt de två lika med varandra. Du kommer få en ekvation med en okänd nämligen .
Okej, så här har jag gjort:
(det ser ganska slarvigt ut men jag hoppas att det går att förstå)

Och nu fick jag igen svaret 40 minuter. Har jag gjort rätt? :)
Ja, fantastiskt bra!
Det var faktiskt så att jag satt och klurade fram den där formeln själv en gång på fysiken. Jag visade den för min lärare och hon blev imponerad men sa att det var överkurs, tror det var i åttan. Använder er bok/er lärare den där formeln, har du sett den tidigare?
Tack så jättejättejättemycket för hjälpen!!!! Jag uppskattar det verkligen! TACK TACK TACK!!
Jag visade den för min lärare och hon blev imponerad men sa att det var överkurs, tror det var i åttan.
Jag går i nian så det är säkert överkurs för mig också och vi har inte använt formeln tidigare.
Vad roligt, varsågod! Det är både smidigt och roligt att använda formler i fysiken, fortsätt så!
Eftersom du nu är intresserad i formler kan jag utmana dig om att skriva en generell formel för när två preparat har samma massa för generella startmassor och generella halveringstider! Ska jag visa eller vill du tänka på det själv?
Visa spoiler
