5
svar
169
visningar
Kapi behöver inte mer hjälp
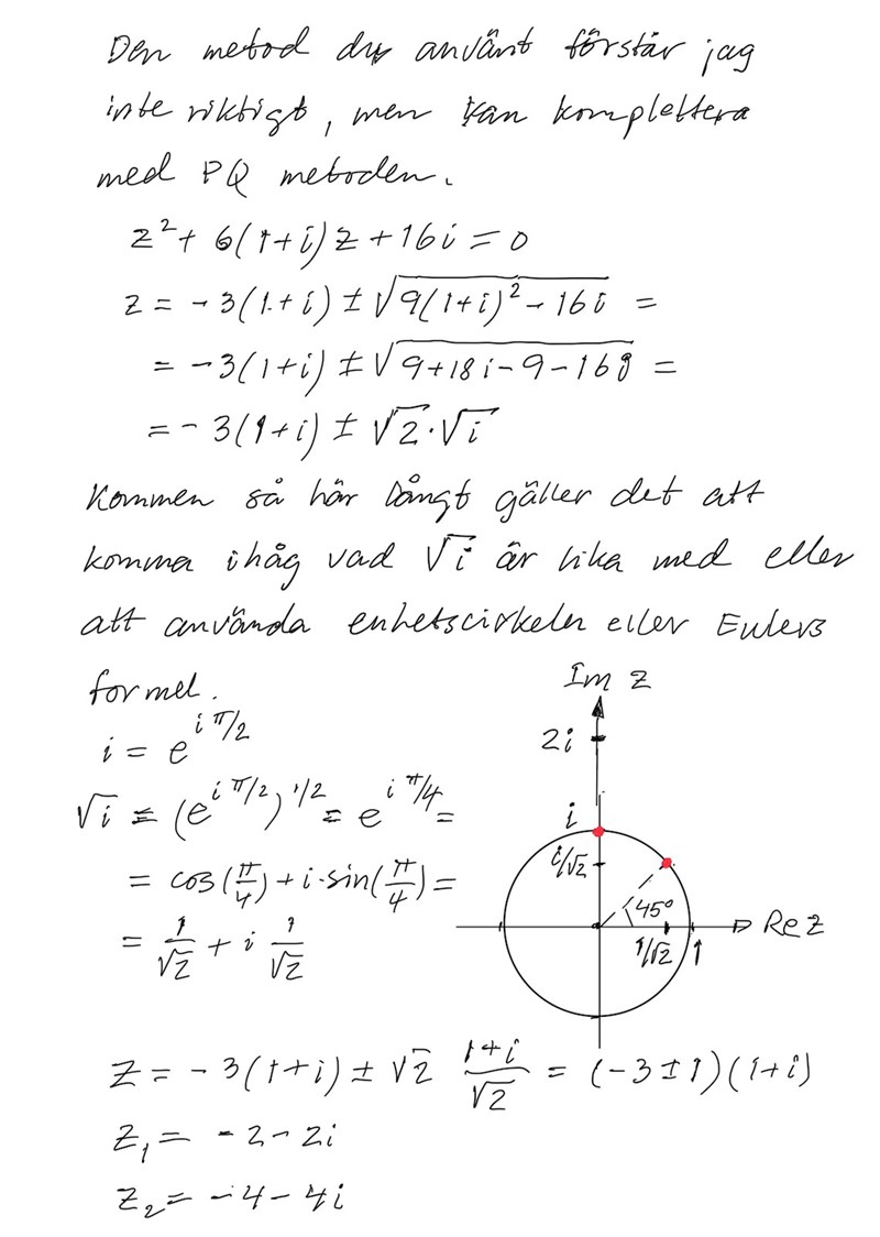
Har fastnat på ekvation med komplexa tal
Hej !
Jag har försökt lösa den här men har inte lyckats...Jag har gått igenom alla mina steg flera gånger men får ändå konstiga värde i PQ-formeln . Är det någonting som jag har missat?
Du tappar kvadreringen av nämnare i högerledet på rad 2. Står 2 i nämnaren ska vara 22 .
Sista termen på samma rad, står 16, ska vara - 16i.
Juste! Tack! Jag har räknat om men får ändå fel svart.. och vet verkligen inte anledningen.
du gör fel i kvadreringen (x+yi)^2
du har fått x2+2ixy+y2 borde bli -y2 eftersom i2 = -1
Tack så mycket Jan!
