1
svar
69
visningar
har fastnat på en fråga
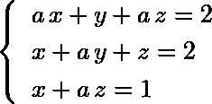
Lös ekvationssystemet
För vilka värden på a har ekvationssystemet en entydig lösning. För vilka a
har vi oändligt många lösningar, för vilka a har vi inga lösningar?
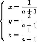
jag har löst

kan någon förklara hur jag kan lösa hitta för vilka a har vi inga lösningar?
malsa_94, spamma inte så förfärligt! Enligt Pluggakutens regler får man skapa 1 tråd om varje fråga, inte 12. Dessutom skall du göra ett helhjärtat försök att lösa din uppgift. Dessutom uppfyller din rubrik inte Pluggakutens riktlinjer. Det kan du fixa själv genom att redigera ditt förstainlägg. /moderator