2
svar
205
visningar
titanicbeatzxz behöver inte mer hjälp
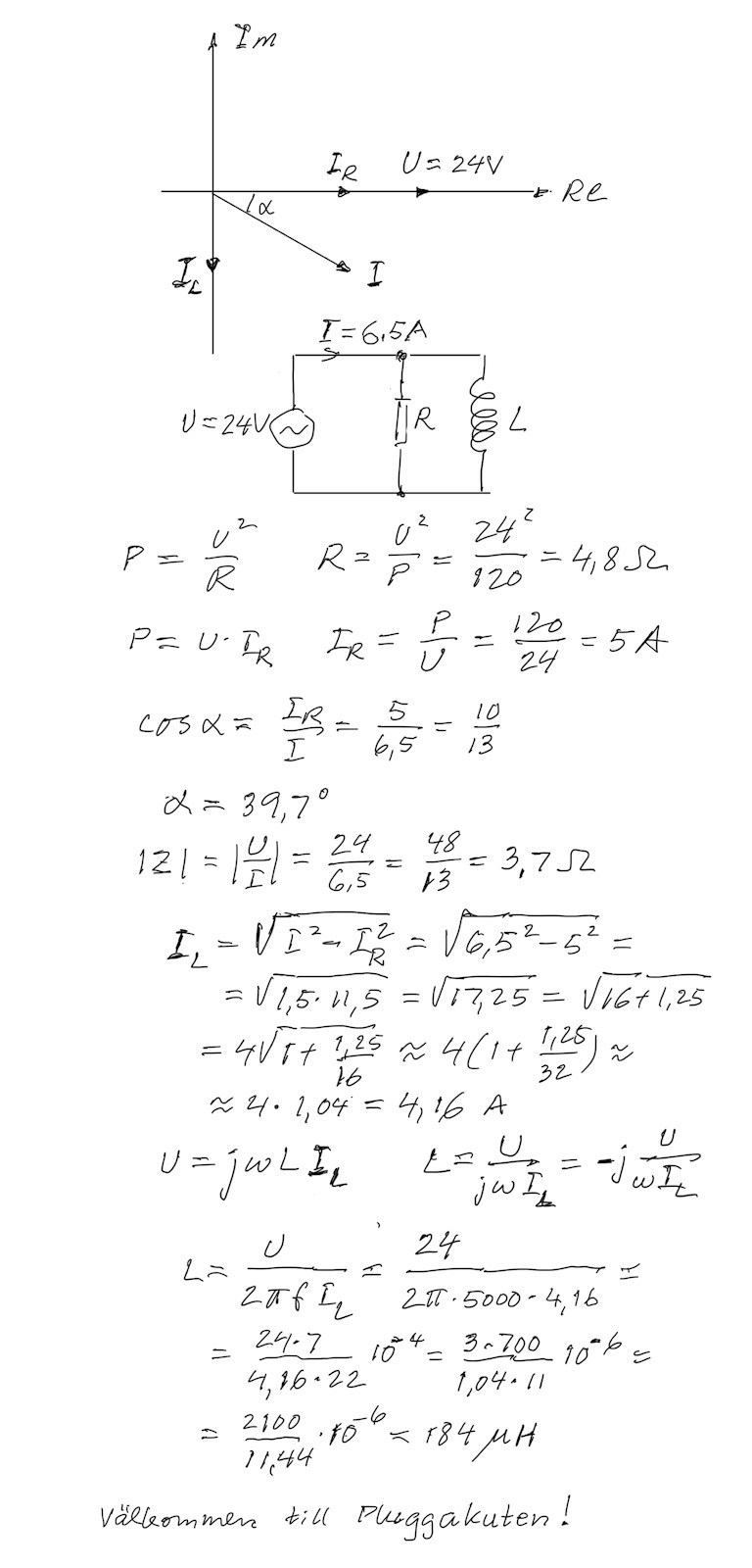
Uppgifter med växelspänningskälla
Jag har räknat på sista deluppgift ganska länge. Vet inte hur jag ska få fram reduktansen för att sedan räkna ut induktansen. Jag vet inte riktigt heller varför min resistans är större än impedansen? är inte impedans resistans + reduktans? Jag är helt lost. All hjälp uppskattas.

titanicbeatzxz skrev:Jag vet inte riktigt heller varför min resistans är större än impedansen?
Ah, det är parallellkoppling (av resistans och induktans).
