2 svar
90 visningar
KriAno behöver inte mer hjälp
KriAno 434 – Fd. Medlem
Postad: 7 apr 2020 10:37 Redigerad: 7 apr 2020 10:37

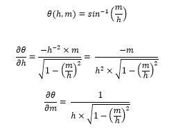
Har jag deriverat rätt?

Hej!

Jag jobbar med partiella derivator. Har jag gjort rätt?

Mvh KriAno

Skaft 2363 – F.d. Moderator
Postad: 7 apr 2020 10:45

Ser bra ut.

KriAno 434 – Fd. Medlem
Postad: 7 apr 2020 10:54
Skaft skrev:

Ser bra ut.

Ok Tack!

Svara
Close