Har jag gjort rätt på följande uppgift om ljud?
Hej, jag undrar om jag gjort rätt på följande uppgift. Finns nämligen inget facit jag kan jämföra med.
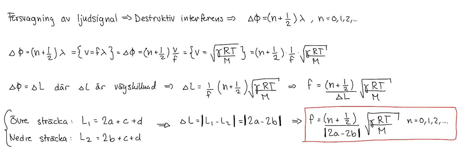
Uppgiften lyder
Jag har gjort följande:
Och om man nu kollar för alla n vilka f som ligger i intervallet, får man korrekt svar?
Är ganska osäker för uppstår det inte svävningar eller resonans som man måste ta hänsyn till? Och sen använder jag inte heller sträckorna c och d i uppgiften som gör mig ännu mer osäker. Hoppas det går att förstå vad mina beteckningar betyder
Någon?
Jag tar tillbaka det jag sa med svävningar, det kan ju inte uppstå om man har en ljudkälla som sänder ut samma frekvens, men är fortfarande osäker på om jag gjort rätt.
fortfarade ingen? så svår kan den frågan ju inte vara
Det är inte lätt att uttala sig säkert och ge goda råd om ngt jag aldrig sett tidigare. Michelsons interferometer känner jag till men akustisk... aldrig hört talas om.
Men ändå, det känns rimligt att skillnaden i väglängd (2*(a-b)) ska motsvara en halv våglängd för att få ljudminima, och då är ju c,d och e irrelevanta.
En undran: Duger det inte med ett tabellvärde på ljudhastigheten? 343 m/s vid 20 C ?
den här artikeln påstår att det inte är någon resonans
Jo, det duger med ett tabellvärde men tänkte bara visa i uppgiften att jag förstod sambandet mellan temperatur och ljudhastighet.
Jag vet inte riktigt annars hur jag ska lösa uppgiften. Villkoret för destruktiv interferens är ju och detta gäller väl allmänt. Då tycker jag att det känns logiskt att ta fram uttrycket för vägskillnaden och likställa det med det ovannämnda uttrycket. Men som sagt är jag osäker, känns som att något fattas.
Någon annan som har insikt?