Har jag löst ut hastigheten rätt ?
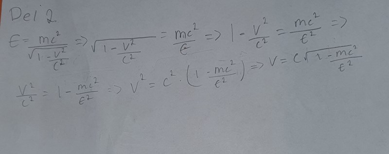
Hej, jag bifogar med en bild, om nån kunde titta om jag gjort det rätt.
Tack på förhand! 
Vad är frågan?
Smaragdalena skrev:Vad är frågan?
Frågan är : en elektron har totalenergin 9.00×10^-14 J. Vilken hastighet har elektronen.
Det första steget du gjort, där du flyttat upp Lorentzfaktorn till vänsterled och flyttat Etot ner till högerled är korrekt.
Sedan har du gjort fel, men tänkt rätt.
Steg 2: Du har höjt upp med 2 i båda leden, men om man höjer upp med 2 får man , inte
Resterande steg blir därmed följdfel.
Truppeduppe skrev:Det första steget du gjort, där du flyttat upp Lorentzfaktorn till vänsterled och flyttat Etot ner till högerled är korrekt.
Sedan har du gjort fel, men tänkt rätt.
Steg 2: Du har höjt upp med 2 i båda leden, men om man höjer upp med 2 får man , inte
Resterande steg blir därmed följdfel.
Så om jag tar bort mc^2÷E upphöjt till 2 och skriver om allt annat utan upphöjt till 2 blir det rätt då ?
Truppeduppe skrev:Det första steget du gjort, där du flyttat upp Lorentzfaktorn till vänsterled och flyttat Etot ner till högerled är korrekt.
Sedan har du gjort fel, men tänkt rätt.
Steg 2: Du har höjt upp med 2 i båda leden, men om man höjer upp med 2 får man , inte
Resterande steg blir därmed följdfel.
Mc^2 är ju mc^2 från start så är det E^2 som ska bort och så ska det bara stå mc^2÷E?
Osäker på om jag förstår dig rätt nu, men du måste få bort roten-ur-tecknet för att både kunna frigöra hastigheten från resten av termerna i Lorentzfaktorn samt för att kunna lösa ut hastigheten. Enklaste sättet är att ta upphöjt med två i båda leden när Lorentzfaktorn står ensam i ett av leden. Så för att kunna lösa ut hastigheten måste du gå vidare från:
Truppeduppe skrev:Osäker på om jag förstår dig rätt nu, men du måste få bort roten-ur-tecknet för att både kunna frigöra hastigheten från resten av termerna i Lorentzfaktorn samt för att kunna lösa ut hastigheten. Enklaste sättet är att ta upphöjt med två i båda leden när Lorentzfaktorn står ensam i ett av leden. Så för att kunna lösa ut hastigheten måste du gå vidare från:
Hur gör jag det då ? Jag hänger inte alls med nu.
Hänger du med till hur man kommer fram till:
och varför man gör det? För att komma vidare härifrån kan man flytta över v2/c2 genom att addera på båda sidorna, sedan kan man subtrahera med allt i högerled så den hamnar på vänster sida. Vi får då
För att få v2 ensam kan man multiplicera med c2 på båda sidorna, vad får man då?
Truppeduppe skrev:Hänger du med till hur man kommer fram till:
och varför man gör det? För att komma vidare härifrån kan man flytta över v2/c2 genom att addera på båda sidorna, sedan kan man subtrahera med allt i högerled så den hamnar på vänster sida. Vi får då
För att få v2 ensam kan man multiplicera med c2 på båda sidorna, vad får man då?
Vad är det jag ska addera med ?
Om en term är negativ i vänsterled, så kan man flytta över den till högerled genom att addera med termen i båda leden. Termen försvinner då i vänsterled samt blir positiv i högerled. Är du med?
om jag nu förstått det rätt bör det bli så här just nu och sen så räknar jag ut hur jag ska få v ensamt ?
Kurddos skrev:
om jag nu förstått det rätt bör det bli så här just nu och sen så räknar jag ut hur jag ska få v ensamt ?
Precis så! Glöm bara inte att i sista steget där så gångar du c2 med allting i det vänstra ledet, så för säkerhets skull bör allt det stå inom parentes, så det inte blir fel på räkneordningen.
Och då multiplicerar båda termerna i parentesen med c2. Hastigheten är förövrigt 124532965.7 m/s om du vill veta om du räknat rätt.
Truppeduppe skrev:Kurddos skrev:
om jag nu förstått det rätt bör det bli så här just nu och sen så räknar jag ut hur jag ska få v ensamt ?
Precis så! Glöm bara inte att i sista steget där så gångar du c2 med allting i det vänstra ledet, så för säkerhets skull bör allt det stå inom parentes, så det inte blir fel på räkneordningen.
Och då multiplicerar båda termerna i parentesen med c2. Hastigheten är förövrigt 124532965.7 m/s om du vill veta om du räknat rätt.
Jag har riktigt svårt för att förstå vad svaret blir när jag multiplicerar c^2 med (1-m^2c^4÷E^2). Sen bör jag väl ta bort c^2 från högerleden och ta kvadratroten ur v^2 så att jag får v ensamt ?
Det är jättebra att du frågar för det är viktigt att man är med på alla steg.
Vi har kommit till punkten:
Multiplicerar man med c2 i båda leden försvinner c2 i högerled (v2 / c2 * c2 = v2). Nya vänsterled och högerled kommer då se ut såhär:
. Vänsterled kan man skriva om till: som kan förenklas till .
Du kan testa detta själv att det blir så med några enklare beräkningar såsom:
6 * (5-2). Det är samma som att skriva 6*5 - 6*2.
Nu har vi kommit till punkten:
Så för att lösa ut hastigheten fullständigt är det sista steget att ta roten ur på båda sidorna.
som kan förenklas till:
Då har vi därmed löst ut hastigheten.
Är du med på alla steg?
Truppeduppe skrev:Det är jättebra att du frågar för det är viktigt att man är med på alla steg.
Vi har kommit till punkten:Multiplicerar man med c2 i båda leden försvinner c2 i högerled (v2 / c2 * c2 = v2). Nya vänsterled och högerled kommer då se ut såhär:
. Vänsterled kan man skriva om till: som kan förenklas till .Du kan testa detta själv att det blir så med några enklare beräkningar såsom:
6 * (5-2). Det är samma som att skriva 6*5 - 6*2.Nu har vi kommit till punkten:
Så för att lösa ut hastigheten fullständigt är det sista steget att ta roten ur på båda sidorna.
som kan förenklas till:
Då har vi därmed löst ut hastigheten.
Är du med på alla steg?
Tack! Jag hänger med tills jag kommer ner dit. Sen behöver jag lägga in mina värden men då blir svaret fel. Jag försrår inte riktigt vad som blir fel då.
Visa hur du lägger in dina värden, så kan vi hjälpa dig att hitta var det blir fel. Vi som svarar här är bra på matte och fysik, men usla på tankeläsning.
Smaragdalena skrev:Visa hur du lägger in dina värden, så kan vi hjälpa dig att hitta var det blir fel. Vi som svarar här är bra på matte och fysik, men usla på tankeläsning.
Nu blev det rätt! Missade att lägga in hela ljusetshastighet det var där felet låg. Men tack för hjälpen!