Har jag maclaurinutvecklat för kort?
Har jag maclaurinutvecklat för kort? Jag vet inte hur jag ska gå vidare, tips?
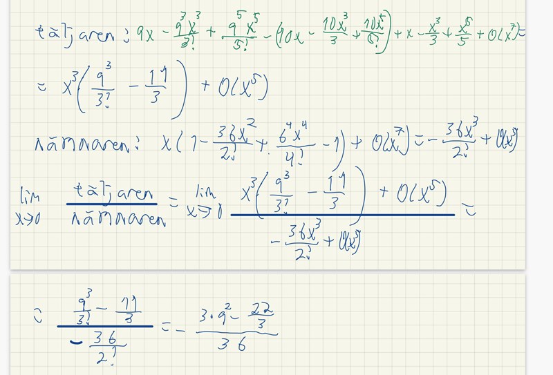
Nämnaren ser lite skum ut, var tog -1 vägen?
Annars är det väl förenkla som gäller. x:en i täljaren tar ut varandra t.ex, och efter att nämnaren förenklats (ettorna tar ut varandra när du tar med -1) kan du förkorta hela rasket med .
Skaft skrev:Nämnaren ser lite skum ut, var tog -1 vägen?
Annars är det väl förenkla som gäller. x:en i täljaren tar ut varandra t.ex, och efter att nämnaren förenklats (ettorna tar ut varandra när du tar med -1) kan du förkorta hela rasket med .
Bättre nu? Kan inte se om det blir rätt, eftersom jag inte lyckats lösa den andra.

Om du bara behöver ett facit så finns wolfram. Ditt svar ser ut att ha fel tecken, så nånstans går det lite snett. Vid en närmare titt ser det ut som täljaren, dubbelkolla den förenklingen =)
Skaft skrev:Om du bara behöver ett facit så finns wolfram. Ditt svar ser ut att ha fel tecken, så nånstans går det lite snett. Vid en närmare titt ser det ut som täljaren, dubbelkolla den förenklingen =)
Tack Skaft! :)
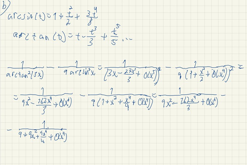
Försökte lösa b-uppgiften också, men vet inte hur jag ska komma vidare. Tacksam för tips :).

Har inte löst den själv, men du borde väl i något steg slå ihop bråken till ett enda, så man kan börja förkorta bort x:en.
Skaft skrev:Har inte löst den själv, men du borde väl i något steg slå ihop bråken till ett enda, så man kan börja förkorta bort x:en.
Problemet är att jag då får en konstant täljaren och x i nämnaren som går mot 0