3
svar
186
visningar
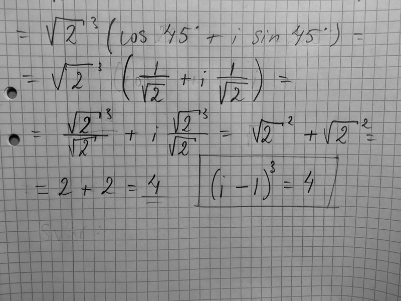
Har jag räknat ut detta korrekt med de Moivres formel?



Hej, jag tror jag har gjort rätt men vill bara få det bekräftat. Tack för svar
Inser nu när jag kollar att jag gjort fel på slutet. Har glömt bort i:et. Men ska det också i^2 så svaret blir 2-2=0 eller ska i multiplicerat med 2 så svaret blir 2+2i. Om ni förstår vad jag menar?
Hedi skrev:Inser nu när jag kollar att jag gjort fel på slutet. Har glömt bort i:et. Men ska det också i^2 så svaret blir 2-2=0 eller ska i multiplicerat med 2 så svaret blir 2+2i. Om ni förstår vad jag menar?
Hej.
Nej det stämmer inte. Arg (i-1) är inte lika med 315°.
Börja med att markera talet i-1 i det komplexa talplanet så ser du det ganska tydligt.
Börja med att rita (i - 1)
