Har jag rätt?
Naemi påstår att formeln för hennes bils prestanda, då den accelererar från
stillastående, är v(t)=45(1 - 45) där v mäts m/s och t i s.
a) Efter hur lång tid når bilen hastigheten 100 km/h?
b) Hur lång sträcka har bilen gått då hastigheten är 100 km/h?
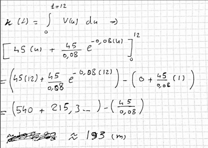
Jag har löst denna uppgift så här, är det rätt ?

Jag antar att det ska stå att
dvs inget 45 framför e^(-0.08t). Det ser ut som du gör rätt på a.
Men på b blir det nog inte helt rätt, om frågan hade varit hur långt bilen åkt efter 0 sekunder, vad ger din funktion för svar? Det svaret kommer inte stämma överens med det rätta svaret som ska vara 0 meter. Ser du vad som är fel?
Stokastisk skrev :Jag antar att det ska stå att
dvs inget 45 framför e^(-0.08t). Det ser ut som du gör rätt på a.
Men på b blir det nog inte helt rätt, om frågan hade varit hur långt bilen åkt efter 0 sekunder, vad ger din funktion för svar? Det svaret kommer inte stämma överens med det rätta svaret som ska vara 0 meter. Ser du vad som är fel?
Kan tipsa om att det är två fel.
tomast80 skrev :Stokastisk skrev :Jag antar att det ska stå att
dvs inget 45 framför e^(-0.08t). Det ser ut som du gör rätt på a.
Men på b blir det nog inte helt rätt, om frågan hade varit hur långt bilen åkt efter 0 sekunder, vad ger din funktion för svar? Det svaret kommer inte stämma överens med det rätta svaret som ska vara 0 meter. Ser du vad som är fel?
Kan tipsa om att det är två fel.
först ville jag att förlänga 45(1-e^(-0.08t)), ger den inte 45-45e^(-0.08t)?
Jo, men hur har du definierat x(t) egentligen?
Tänk på att
Det är korrekt att det blir så om du multiplicerar in 45.
Om det är min kommentar om att det inte bör vara 45 framför e^(-0.08t) så läs ditt ursprungliga inlägg, där står det att , men det rödmarkerade 45 ska väl inte vara där?
Stokastisk skrev :Det är korrekt att det blir så om du multiplicerar in 45.
Om det är min kommentar om att det inte bör vara 45 framför e^(-0.08t) så läs ditt ursprungliga inlägg, där står det att , men det rödmarkerade 45 ska väl inte vara där?
Oj, just det. Det har jag inte märkt !
Okej, men jag antar att det bara är ett typo från din sida?
Är du med på vad som blev fel i b) delen?
tomast80 skrev :
Jo, men hur har du definierat x(t) egentligen?
Tänk på att
Det där ser bra ut.
tomast80 skrev :