Päivi skrev :
Du har rätta tankar.
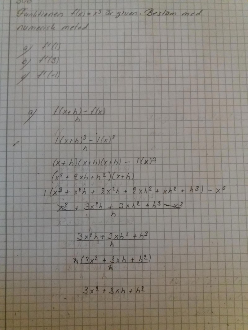
Om det står 1 framför parenteserna i täljaren på sista raden så har du satt upp korrekt differenskvot. Utveckla kuben av första parentesen och förenkla sedan uttrycket precis som du gjorde med de tidigare uppgifterna.
Det blev fel här när du utvecklade kuben:

Du har glömt att skriva ut två termer i produkten.
(a+b+c)(d+e) = ad + ae + bd + be + cd + ce.
Det ska alltså vara 6 termer totalt.
Du verkar skriva h där du menar 3+h., t ex h=3.001 där h ska vara 0.001 och 3+h blir då 3.001
Päivi skrev :
Aha, det står ju numerisk metod.
Ja då är det bara att beräkna differenskvotens värde för aktuellt x-värde och med olika och minskande värden på h.
En kolumn för h, en för f(x+h), en för f(x) och en sista för (f(x+h) - f(x))/h.
Slarvfel. Ser du var du tappade ett h?
Hoppas att jag inte nu har glömt något.
Ja nu ser det rätt ut.
Du kan använda detta uttryck för att beräkna differenskvotens värden om du vill.
Men fortsätt med tabellen, det är rätt sätt.
Nu är jag osäker hur jag ska göra.
Gör som jag skrev i det här svaret.
Jag undrar om du kanske sitter och räknar en massa, mer eller mindre i onödan.
Det du behöver göra på den här uppgiften är att få fram två punkter på kurvan. Den ena är (3, f(3)) alltså (3, 27) och den andra punkten ligger nära.
Räkna ut lutningen på linjen genom punkterna och se att den blir 27 om den andra punkten är "oändligt nära".
Om du har förstått det, så har du förstått uppgiften.
Nu undrar jag varifrån har du fått fram
3,f (3). 3:27
Jag vill bara ha en förklaring.
Jag har ju fått 3 i första tabellen och 27 på den andra. Jag vill veta lite mera om det. Jag har inte velat räkna mera utan ställa fråga om det här.
Kurvan är f(x)=x^3
3^3 = 27, så punkten med x-värdet 3 har y-värdet 27.
Jag undrar den här andra punkten. 3,f(3)?
Det är den jag menar. f(3)=27
Då måste vi ha en punkt ytterligare.
Päivi skrev :Då måste vi ha en punkt ytterligare.
Läs Bubos kommentar igen. Där står det (min fetmarkering):
Den ena är (3, f(3)) alltså (3, 27) och den andra punkten ligger nära.
Du kan alltså själv bestämma var den andra punkten ska ligga, bara den ligger nära (3, 27).
Den ena punkten är (3, f(3)) och den andra punkten är (3+h, f(3+h)). Välj ett litet h, då kommer ju den andra punkten att ligga nära den första.
Du tycker att det här tar lång tid Päivi. Ett skäl till att det tar lång tid är att du inte följer våra råd.
Om du inte förstår våra råd så ska du fråga vad vi menar.
Om du förstår våra råd så kan du ju såklart välja att låta bli att följa dem, men då kommer det att ta onödigt lång tid för dig att lösa uppgiften.
------------- Exempel -------------
Mitt råd som du inte följde:
Yngve skrev :Gör som jag skrev i det här svaret.
Bubos råd som du inte följde:
Bubo skrev :
Det du behöver göra på den här uppgiften är att få fram två punkter på kurvan. Den ena är (3, f(3)) alltså (3, 27) och den andra punkten ligger nära.
Det där har jag gjort, men jag undrar över andra punkten.
Päivi skrev :Det där har jag gjort, men jag undrar över andra punkten.
Då har du inte läst våra svar ordentligt.
Läs mitt svar här. Fråga om du inte förstår..
Yngve skrev :Päivi skrev :Då måste vi ha en punkt ytterligare.
Läs Bubos kommentar igen. Där står det (min fetmarkering):
Den ena är (3, f(3)) alltså (3, 27) och den andra punkten ligger nära.
Du kan alltså själv bestämma var den andra punkten ska ligga, bara den ligger nära (3, 27).
Den ena punkten är (3, f(3)) och den andra punkten är (3+h, f(3+h)). Välj ett litet h, då kommer ju den andra punkten att ligga nära den första.
Hur ska jag göra här. Hur kan jag välja den andra punkten mitt i allt.
Päivi skrev :Yngve skrev :Päivi skrev :Då måste vi ha en punkt ytterligare.
Läs Bubos kommentar igen. Där står det (min fetmarkering):
Den ena är (3, f(3)) alltså (3, 27) och den andra punkten ligger nära.
Du kan alltså själv bestämma var den andra punkten ska ligga, bara den ligger nära (3, 27).
Den ena punkten är (3, f(3)) och den andra punkten är (3+h, f(3+h)). Välj ett litet h, då kommer ju den andra punkten att ligga nära den första.
Hur ska jag göra här. Hur kan jag välja den andra punkten mitt i allt.
OBS! Nu beskriver jag Bubos metod:
Ena punkten har du redan. Det är (3, f(3)), dvs (3, 3^3), dvs (3, 27).
Välj ett litet h, t.ex. h = 0,001.
Då blir den andra punkten (3+h, f(3+h)), dvs (3+h, (3+h)^3), dvs (3+h, 3^3+3*3^2*h+3*3*h^2+h^3), dvs (3+h, 27+27h+9h^2+h^3).
Sätt nu in h = 0,001 och beräkna värdet av differenskvoten (f(3+h)-f(3))/((3+h)-3)
Var kommer 3+h någonstans?
Päivi skrev :Var kommer 3+h någonstans?
Jag antar att du nu menar varifrån 3+h kommer, dvs varför vi ska räkna med 3+h.
Då är svaret:
3+h är x-koordinaten för den andra punkten på kurvan, den som ligger nära den första punkten (som har x-koordinaten 3).
Du ska alltså räkna ut lutningen på sekanten som går genom punkterna (3, f(3)) och (3+h, f(3+h)).
Detta är precis samma sak som det du har gjort i de tidigare uppgifterna.
Jag lämnar det här, men fortsätter inte. Väntar till tisdag.
Nu är allt väldigt förvirrat.
Jag trodde att du hade bytt till b-uppgiften.
Håller du alltså fortfarande på med a-uppgiften?
Ja, det var ju a uppgiften som jag höll på med.
Men varför i hela friden blandade du då in värden som 3,1. 3,01. 3,001. 3,00001 ?
Det är ju precis som man ska tänka i b), alltså att närma sig x=3.
Jag stoppade en etta i x
(1+ h)^3-(1)/ h
då fick jag 3+ 3h + h^2
sedan tog jag
0.1
0,01
0,001 ovs.
Därför fick jag det här resultatet.
Svaret ska vara f'(1)= 3
Ja om det är f'(1) du vill försöka beräkna numeriskt så tar du och gör så. Men du behöver faktiskt inte förenkla uttrycket först, du kan direkt använda uttrycket
och sedan låta h = 0.1, h = 0.01, h = 0.00001 och se vad det närmar sig.
Jag gör ett försök nu. Återkommer om en liten stund och visar kort.
Det där ser bra ut.
Hej Päivi.
Jag tror att vi alla kan undvika en stor del av denna och liknande förvirring om du börjar beskriva vad det är du räknar ut och varför du gör det, dvs vad din plan är.
Och vi som svarar bör ta för vana att alltid fråga dig vad det är du försöker göra när du presenterar dina uträkningar. Nu trodde både Bubo och jag att du räknade på b-uppgiften.
Har läst Yngve!
Tack Stokastisk för hjälpen.












