Har problem med polynomekvationer av högre grad. Matte 5000+ Tal 4460
Ekvationen har en rot z=i.
Verifiera detta och bestäm därefter samtliga rötter till ekvationen.
Jag har verifierat att det stämmer men när jag ska räkna ut de andra värdena så får jag problem.
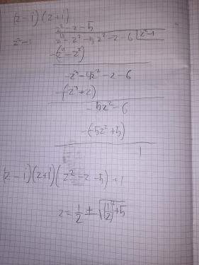
jag kunde se att de 2 första faktorerna är
men när jag sen försöker dividera
får jag resten 1 och då blir allt fel
Uträkning:
Vad gör jag fel?
Det stämmer inte att x=1 och x=-1 är en rot, vilket du också förtydligar efter du utfört poldiv eftersom du släpar en rest.
Du känner till två rötter, x=i och vilken mer? Vad kan vi säga om p(z) om det är reella koefficienter och en rot är imaginär?
oj jag menadeg menade att x =-i x=i
sailet03, det är inte tillåtet att redigera frågan efter att tråden har blivit besvarad. Redigera tillbaka det och lägg en liten notis nedan istället. /Moderator
Bätre?
(z-i)(z+i) = z2+1
Laguna skrev:(z-i)(z+i) = z2+1
Ja så långt kom jag det var efter det som jag alltid fick em rest som jag inte vet hur jag ska hantera
Om du får en rest har du räknat fel. Dubbelkolla dina steg!